Официальное опубликование правовых актов
ОФИЦИАЛЬНОЕ ОПУБЛИКОВАНИЕ
Постановление Правительства Забайкальского края от 28.03.2016 № 111
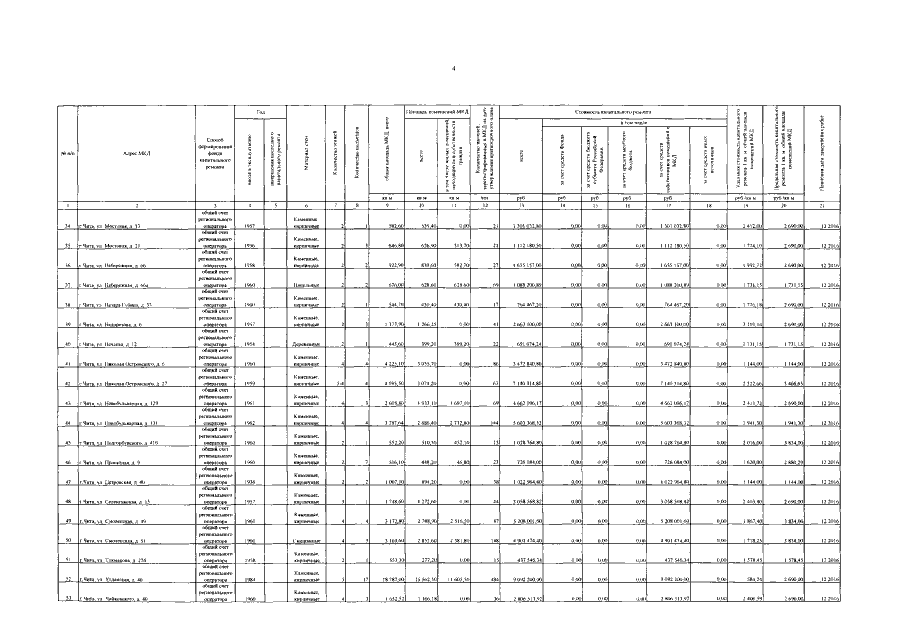
"Об утверждении Регионального краткосрочного плана реализации Региональной программы капитального ремонта общего имущества в многоквартирных домах, расположенных на территории Забайкальского края, на 2016-2017 годы"
Номер опубликования: 7500201604010004
Дата опубликования: 01.04.2016
Страница №4 из 32:
Увеличить