Официальное опубликование правовых актов
ОФИЦИАЛЬНОЕ ОПУБЛИКОВАНИЕ
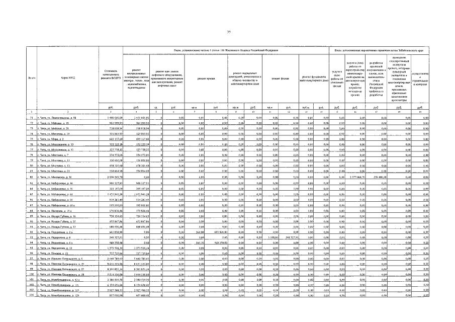
Постановление Правительства Забайкальского края от 09.03.2017 № 83
"О внесении изменений в Региональный краткосрочный план реализации Региональной программы капитального ремонта общего имущества в многоквартирных домах, расположенных на территории Забайкальского края, на 2016-2017 годы, утвержденный постановлением Правительства Забайкальского края от 28 марта 2016 года № 111"
Номер опубликования: 7500201703100003
Дата опубликования: 10.03.2017
Страница №35 из 42:
Увеличить