Официальное опубликование правовых актов
ОФИЦИАЛЬНОЕ ОПУБЛИКОВАНИЕ
Постановление Правительства Забайкальского края от 30.06.2017 № 268
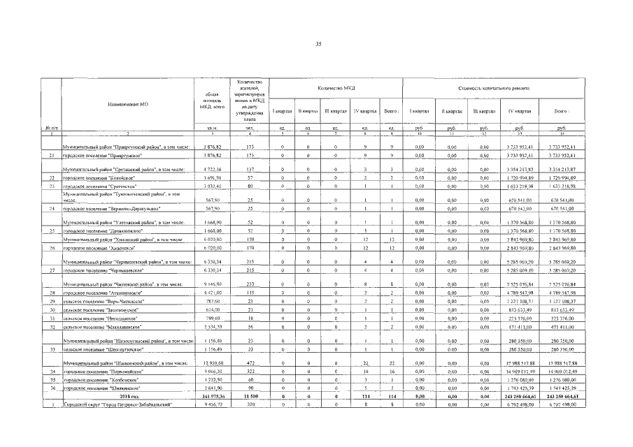
"О внесении изменений в постановление Правительства Забайкальского края от 28 марта 2016 года № 111 "Об утверждении Регионального краткосрочного плана реализации Региональной программы капитального ремонта общего имущества в многоквартирных домах, расположенных на территории Забайкальского края, на 2016-2017 годы"
Номер опубликования: 7500201707040001
Дата опубликования: 04.07.2017
Страница №35 из 57:
Увеличить