Официальное опубликование правовых актов
ОФИЦИАЛЬНОЕ ОПУБЛИКОВАНИЕ
Постановление Губернатора Забайкальского края от 09.11.2017 № 53
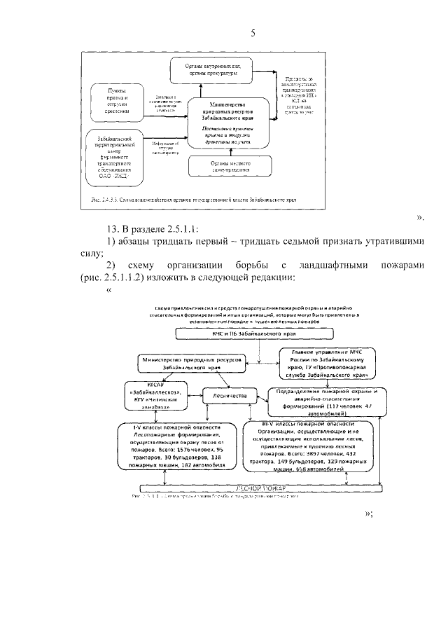
"О внесении изменений в лесной план Забайкальского края, утвержденный постановлением Губернатора Забайкальского края от 31 декабря 2008 года № 207"
Номер опубликования: 7500201711090003
Дата опубликования: 09.11.2017
Страница №5 из 6:
Увеличить