Официальное опубликование правовых актов
ОФИЦИАЛЬНОЕ ОПУБЛИКОВАНИЕ
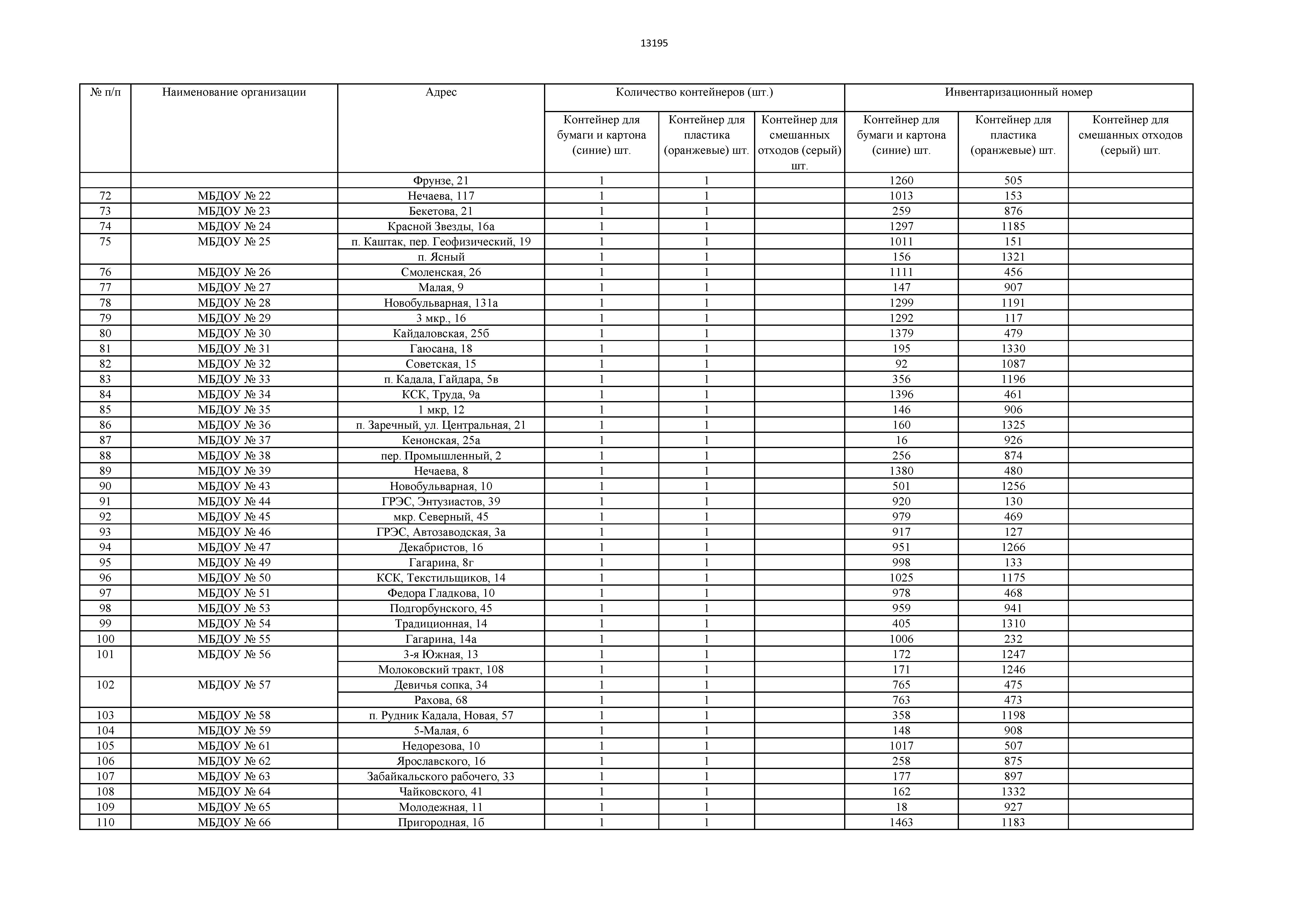
Постановление Правительства Забайкальского края от 04.02.2025 № 34
"Об утверждении территориальной схемы обращения с отходами Забайкальского края"
Номер опубликования: 7500202502070001
Дата опубликования: 07.02.2025
Страница №13196 из 13346: