Официальное опубликование правовых актов
ОФИЦИАЛЬНОЕ ОПУБЛИКОВАНИЕ
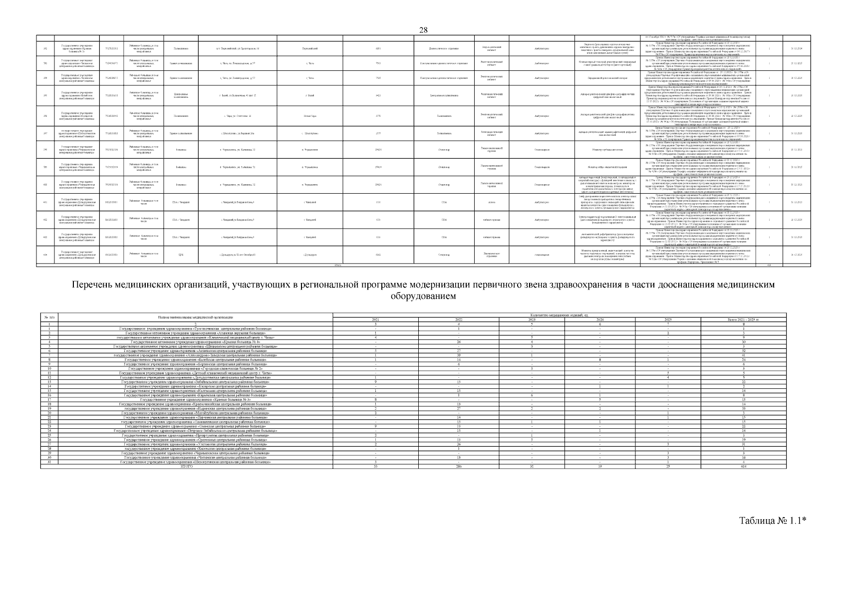
Постановление Правительства Забайкальского края от 09.10.2025 № 567
"О внесении изменений в региональную программу "Модернизация первичного звена здравоохранения в Забайкальском крае"
Номер опубликования: 7500202510100004
Дата опубликования: 10.10.2025
Страница №28 из 35:
Увеличить