Официальное опубликование правовых актов
ОФИЦИАЛЬНОЕ ОПУБЛИКОВАНИЕ
Постановление Правительства Забайкальского края от 15.12.2025 № 746
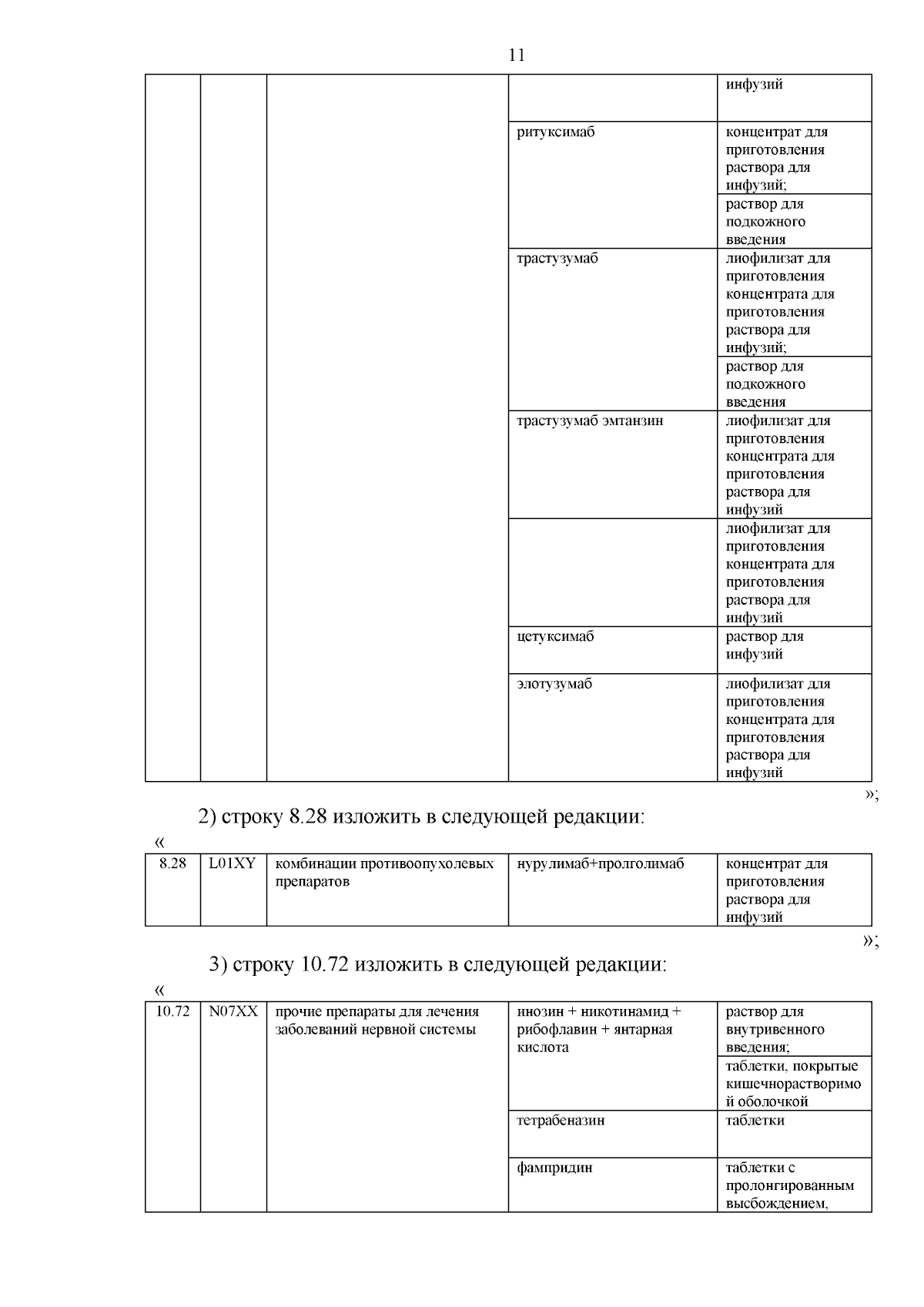
"О внесении изменений в Территориальную программу государственных гарантий бесплатного оказания гражданам медицинской помощи на территории Забайкальского края на 2025 год и на плановый период 2026 и 2027 годов"
Номер опубликования: 7500202512160007
Дата опубликования: 16.12.2025
Страница №11 из 100:
Увеличить