Официальное опубликование правовых актов
ОФИЦИАЛЬНОЕ ОПУБЛИКОВАНИЕ
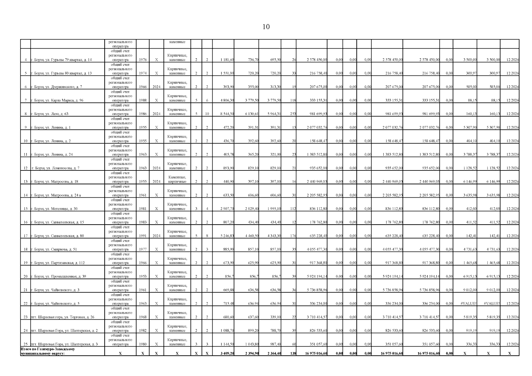
Постановление Правительства Забайкальского края от 17.12.2025 № 756
"Об утверждении Регионального краткосрочного плана реализации Региональной программы капитального ремонта общего имущества в многоквартирных домах, расположенных на территории Забайкальского края, на период 2026-2028 годов"
Номер опубликования: 7500202512220003
Дата опубликования: 22.12.2025
Страница №10 из 50:
Увеличить