Официальное опубликование правовых актов
ОФИЦИАЛЬНОЕ ОПУБЛИКОВАНИЕ
Постановление Правительства Забайкальского края от 20.03.2026 № 135
"О внесении изменений в региональную программу "Модернизация первичного звена здравоохранения в Забайкальском крае"
Номер опубликования: 7500202603250001
Дата опубликования: 25.03.2026
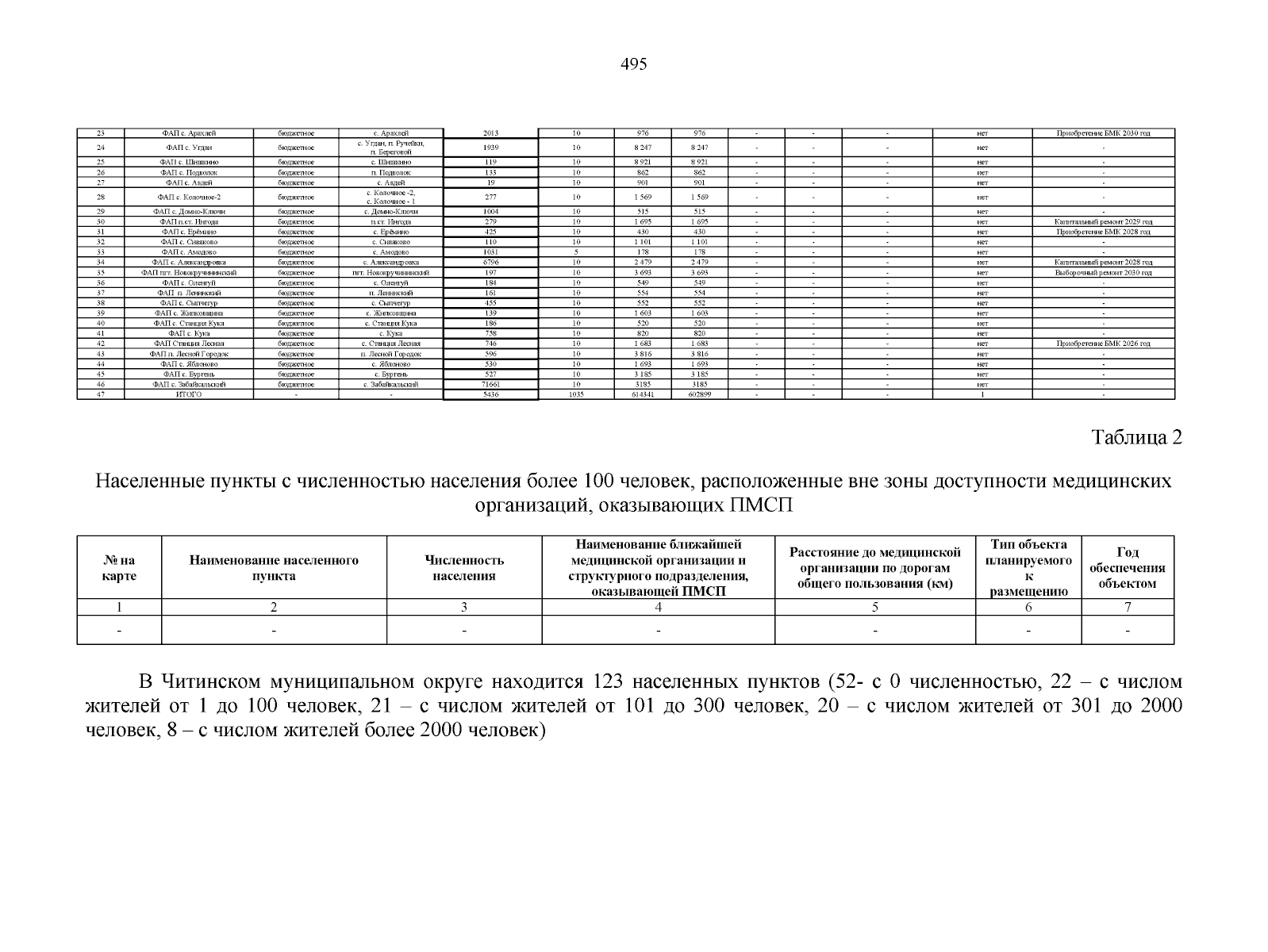
Страница №495 из 606:
Увеличить