Официальное опубликование правовых актов
ОФИЦИАЛЬНОЕ ОПУБЛИКОВАНИЕ
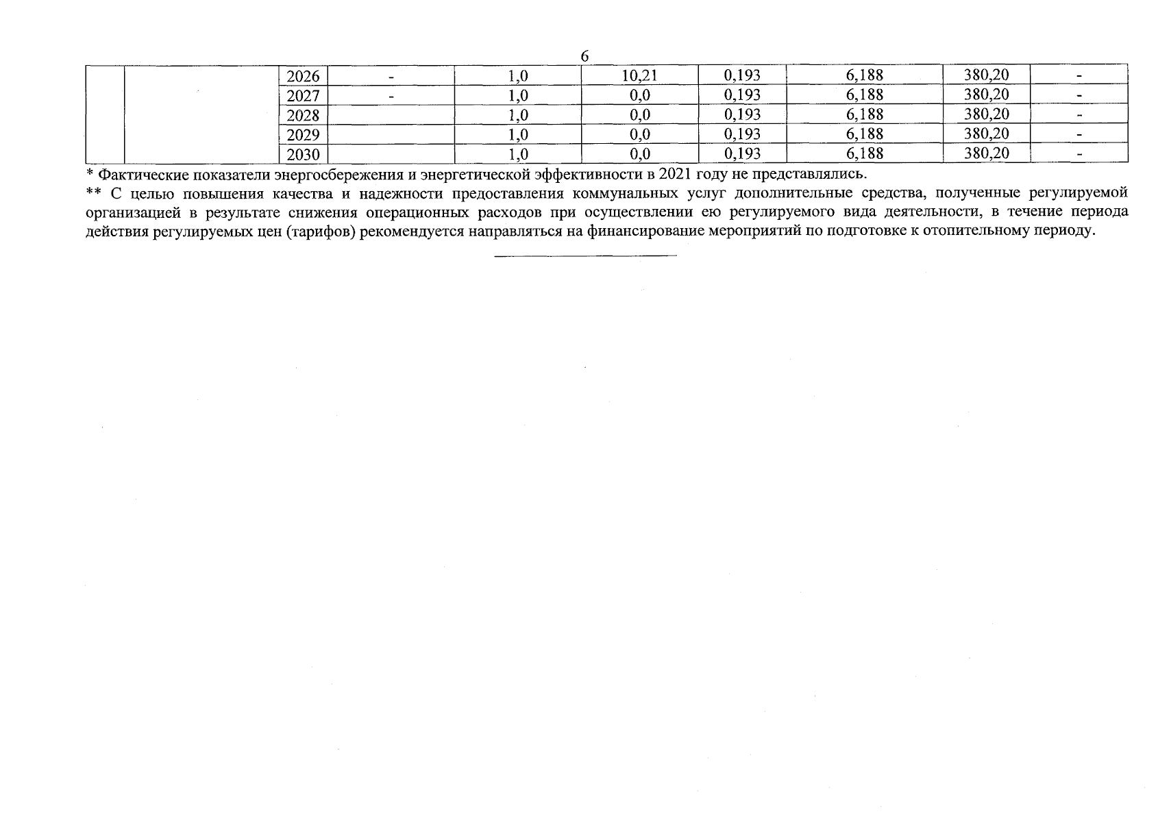
Приказ Региональной службы по тарифам и ценообразованию Забайкальского края от 27.09.2023 № 131-НПА
"Об установлении тарифов на тепловую энергию (мощность), поставляемую ООО "Комфортстрой" потребителям на территории муниципального образования городское поселение "Дарасунское" муниципального района "Карымский район" Забайкальского края, на 2023-2030 годы"
(Зарегистрирован 29.09.2023 № 523-75-2023)
Номер опубликования: 7501202310030005
Дата опубликования: 03.10.2023
Страница №6 из 6:
Увеличить