Официальное опубликование правовых актов
ОФИЦИАЛЬНОЕ ОПУБЛИКОВАНИЕ
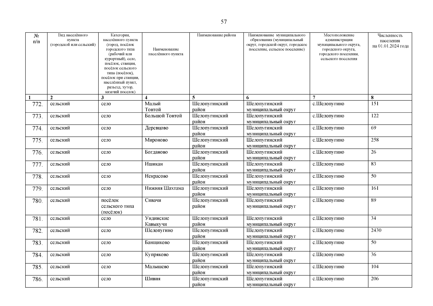
Приказ Министерства строительства, дорожного хозяйства и транспорта Забайкальского края от 18.07.2024 № 13 - НПА
"Об утверждении перечня малых населенных пунктов Забайкальского края"
(Зарегистрирован 19.07.2024 № 523-75-2024)
Номер опубликования: 7501202407230004
Дата опубликования: 23.07.2024
Страница №57 из 60:
Увеличить