Официальное опубликование правовых актов
ОФИЦИАЛЬНОЕ ОПУБЛИКОВАНИЕ
Приказ Министерства природных ресурсов Забайкальского края от 11.12.2024 № 68-н/п
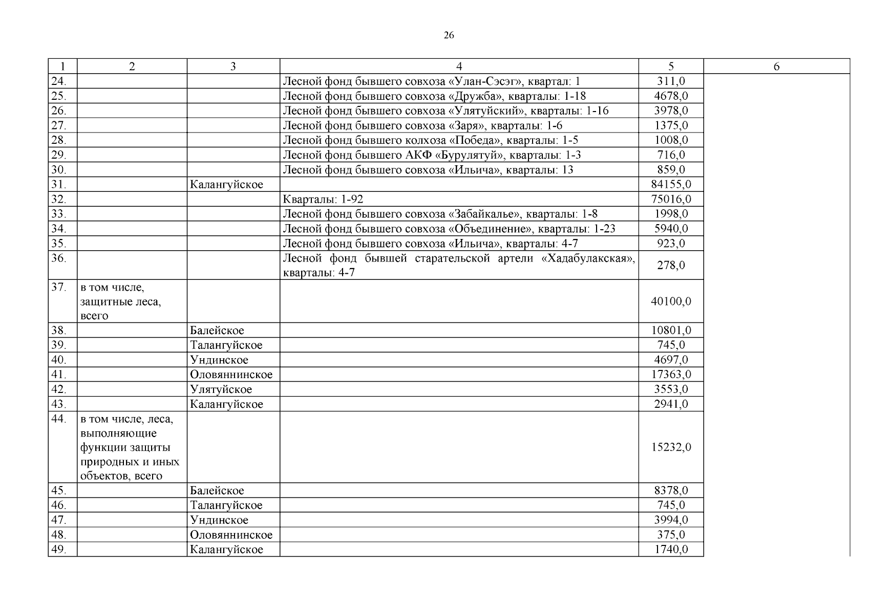
"О внесении изменений в лесохозяйственный регламент Балейского лесничества, утвержденный приказом Министерства природных ресурсов Забайкальского края от 29 декабря 2018 года № 93-н/п (в редакции приказа Министерства природных ресурсов Забайкальского края от 11 ноября 2020 года № 46-н/п, приказа Министерства природных ресурсов Забайкальского края от 31 октября 2022 года № 78-н/п)"
(Зарегистрирован 11.12.2024 № 1171-75-2024)
Номер опубликования: 7501202412160001
Дата опубликования: 16.12.2024
Страница №26 из 164:
Увеличить