Официальное опубликование правовых актов
ОФИЦИАЛЬНОЕ ОПУБЛИКОВАНИЕ
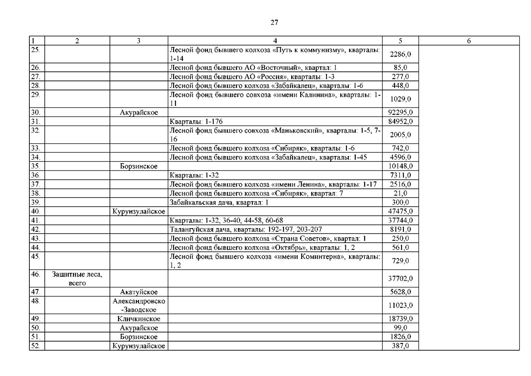
Приказ Министерства природных ресурсов Забайкальского края от 29.10.2025 № 43-н/п
"О внесении изменений в лесохозяйственный регламент Александровско-Заводского лесничества, утвержденный приказом Министерства природных ресурсов Забайкальского края от 29 декабря 2018 года № 99-н/п (в редакции приказа Министерства природных ресурсов Забайкальского края от 11 ноября 2020 года № 43-н/п, приказа Министерства природных ресурсов Забайкальского края от 31 октября 2022 года № 75-н/п)"
(Зарегистрирован 29.10.2025 № 696-75-2025)
Номер опубликования: 7501202511070016
Дата опубликования: 07.11.2025
Страница №27 из 172:
Увеличить