Официальное опубликование правовых актов
ОФИЦИАЛЬНОЕ ОПУБЛИКОВАНИЕ
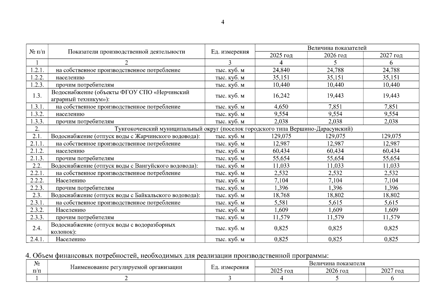
Приказ Региональной службы по тарифам и ценообразованию Забайкальского края от 19.12.2025 № 649-НПА
"О корректировке долгосрочных тарифов на питьевую воду (питьевое водоснабжение) и водоотведение для ООО "СПК Нерчинск", осуществляющего на территории Забайкальского края деятельность в сфере водоснабжения и водоотведения"
(Зарегистрирован 23.12.2025 № 1020-75-2025)
Номер опубликования: 7501202512310023
Дата опубликования: 31.12.2025
Страница №4 из 10:
Увеличить