Официальное опубликование правовых актов
ОФИЦИАЛЬНОЕ ОПУБЛИКОВАНИЕ
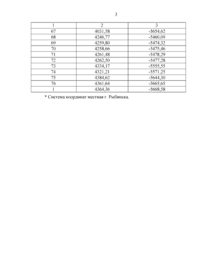
Постановление Правительства Ярославской области от 19.01.2015 № 33-п
"Об утверждении границы охранной зоны объекта газораспределительной сети "Газопровод низкого давления, назначение: газопровод низкого давления, протяженность 1015 м"
Номер опубликования: 7600201501220021
Дата опубликования: 22.01.2015
Страница №5 из 5:
Увеличить