Официальное опубликование правовых актов
ОФИЦИАЛЬНОЕ ОПУБЛИКОВАНИЕ
Постановление Правительства Ярославской области от 26.02.2015 № 174-п
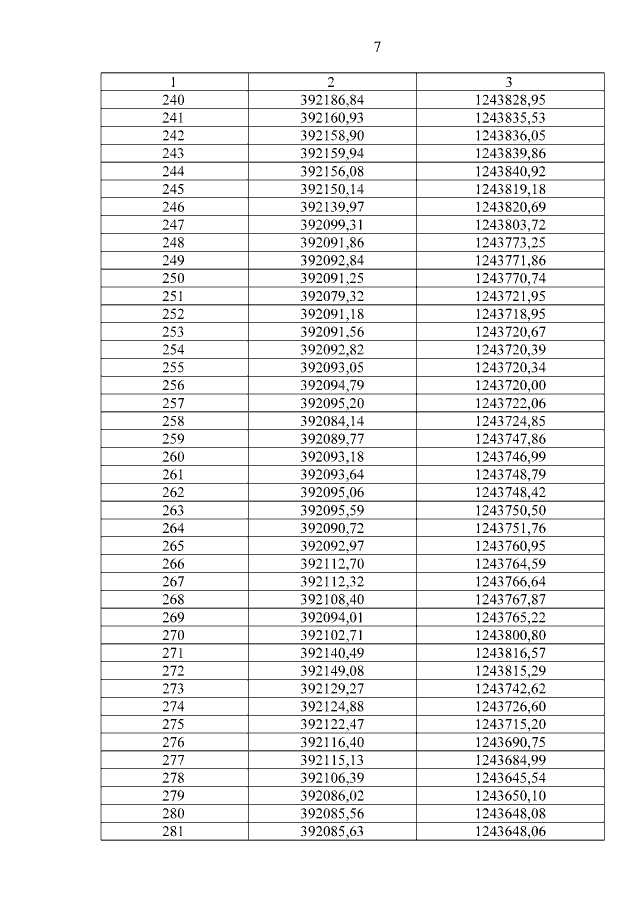
"Об утверждении границы охранной зоны объекта газораспределительной сети "Газораспределительные сети высокого/низкого давления Сельхозтехника"
Номер опубликования: 7600201502270003
Дата опубликования: 27.02.2015
Страница №9 из 13:
Увеличить