Официальное опубликование правовых актов
ОФИЦИАЛЬНОЕ ОПУБЛИКОВАНИЕ
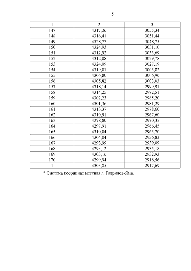
Постановление Правительства Ярославской области от 04.08.2015 № 876-п
"Об утверждении границы охранной зоны объекта газораспределительной сети "Газопровод низкого давления"
Номер опубликования: 7600201508060011
Дата опубликования: 06.08.2015
Страница №7 из 7:
Увеличить