Официальное опубликование правовых актов
ОФИЦИАЛЬНОЕ ОПУБЛИКОВАНИЕ
Постановление Правительства Ярославской области от 11.09.2015 № 1000-п
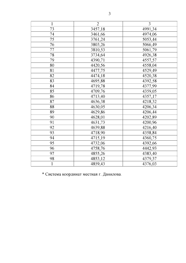
"Об утверждении границы охранной зоны объекта газораспределительной сети "Газопровод низкого давления, ГРП, станция защиты – 1 шт."
Номер опубликования: 7600201509160001
Дата опубликования: 16.09.2015
Страница №5 из 5:
Увеличить