Официальное опубликование правовых актов
ОФИЦИАЛЬНОЕ ОПУБЛИКОВАНИЕ
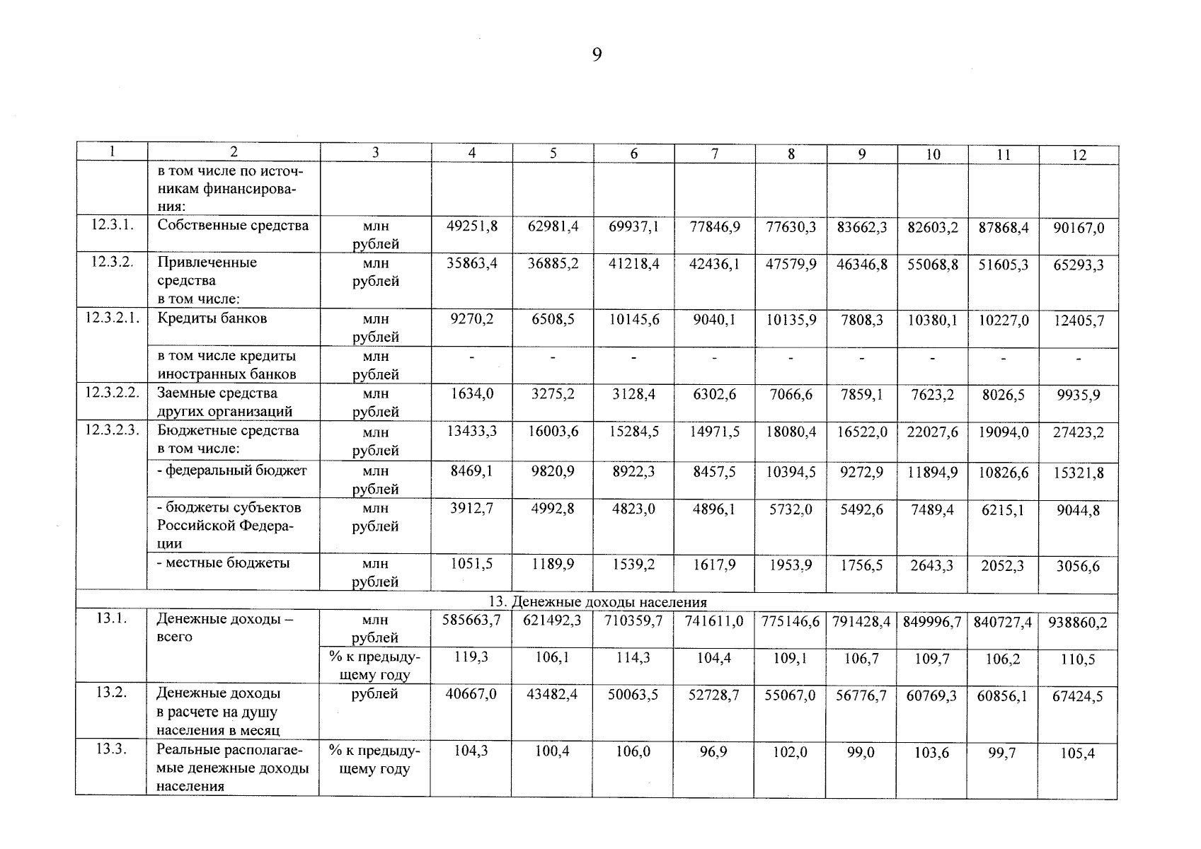
Постановление Правительства Ярославской области от 17.10.2024 № 1063-п
"О прогнозе социально-экономического развития Ярославской области на среднесрочный период 2025 – 2027 годов"
Номер опубликования: 7600202410240007
Дата опубликования: 24.10.2024
Страница №10 из 43:
Увеличить