Официальное опубликование правовых актов
ОФИЦИАЛЬНОЕ ОПУБЛИКОВАНИЕ
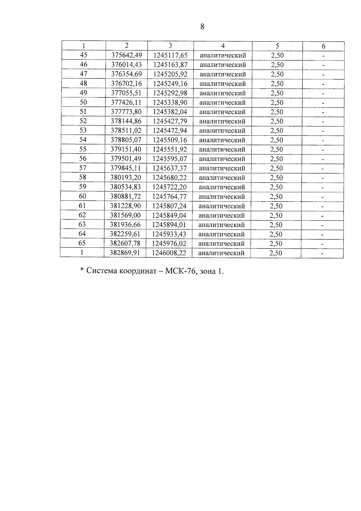
Постановление Правительства Ярославской области от 04.02.2025 № 86-п
"О выделении в государственном природном заказнике "Верхне-Волжский" зоны ограниченного хозяйственного использования и внесении изменений в постановление Правительства Ярославской области от 03.10.2014 № 977-п"
Номер опубликования: 7600202502060004
Дата опубликования: 06.02.2025
Страница №10 из 13:
Увеличить