Официальное опубликование правовых актов
ОФИЦИАЛЬНОЕ ОПУБЛИКОВАНИЕ
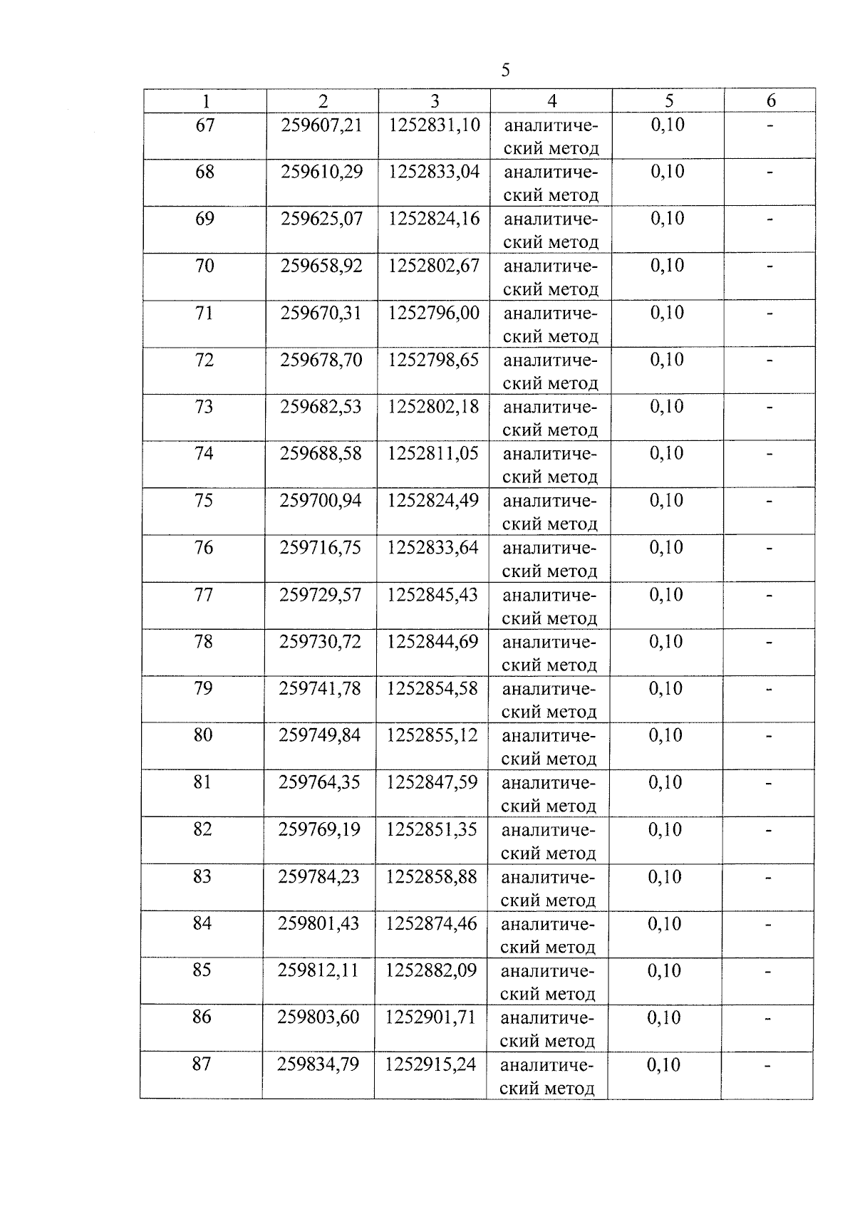
Постановление Правительства Ярославской области от 16.07.2025 № 726-п
"Об утверждении генерального плана населенного пункта село Гагаринская Новоселка Переславль-Залесского муниципального округа Ярославской области"
Номер опубликования: 7600202507180001
Дата опубликования: 18.07.2025
Страница №14 из 15:
Увеличить