Официальное опубликование правовых актов
ОФИЦИАЛЬНОЕ ОПУБЛИКОВАНИЕ
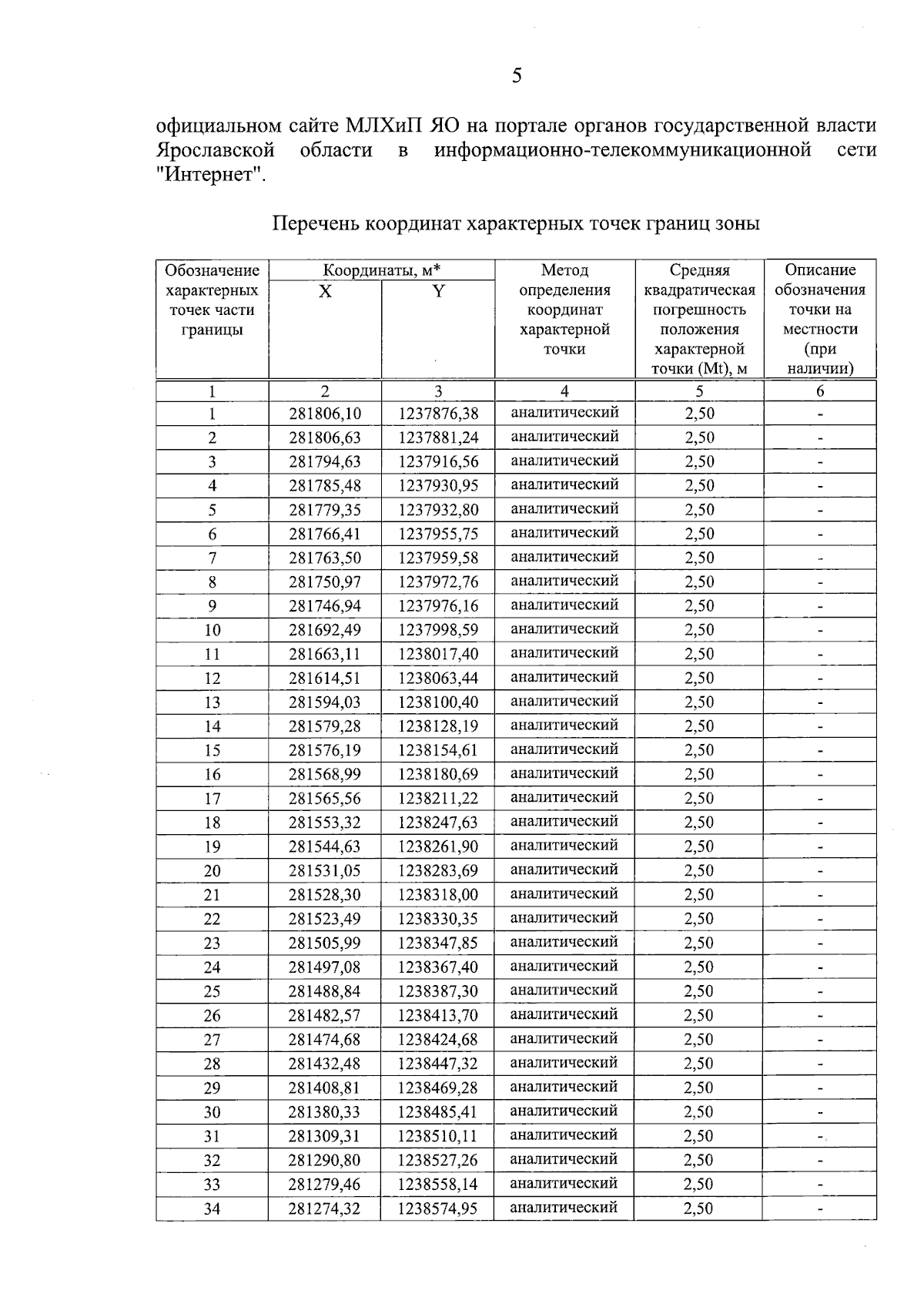
Постановление Правительства Ярославской области от 06.03.2026 № 238-п
"О выделении зоны ограниченного хозяйственного использования в составе памятника природы "Долина р. Кубрь с водохранилищем" и внесении изменений в постановление Правительства Ярославской области от 26.07.2018 № 544-п"
Номер опубликования: 7600202603110004
Дата опубликования: 11.03.2026
Страница №7 из 31:
Увеличить