Официальное опубликование правовых актов
ОФИЦИАЛЬНОЕ ОПУБЛИКОВАНИЕ
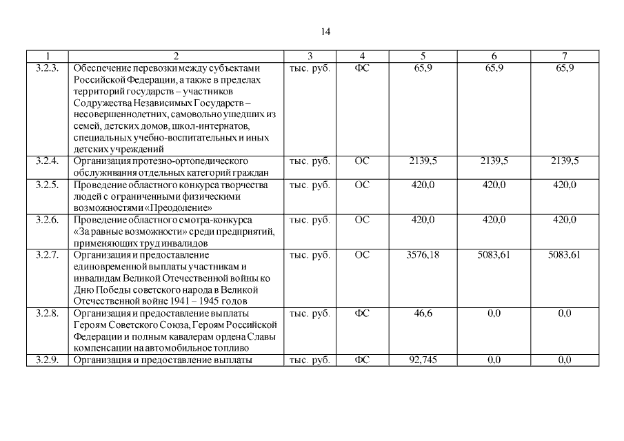
Приказ Департамента труда и социальной поддержки населения Ярославской области от 19.12.2019 № 75-19
"О внесении изменений в приказ департамента труда и социальной поддержки населения Ярославской области от 21.02.2019 № 14-19"
(Зарегистрирован 20.12.2019 № 09-9902)
Номер опубликования: 7601201912230007
Дата опубликования: 23.12.2019
Страница №14 из 22:
Увеличить