Официальное опубликование правовых актов
ОФИЦИАЛЬНОЕ ОПУБЛИКОВАНИЕ
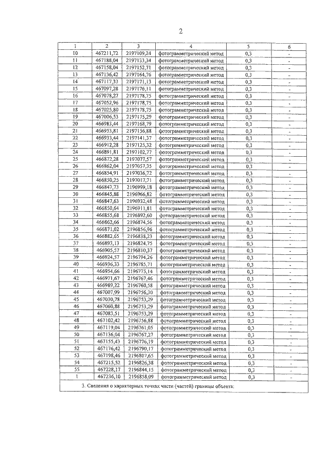
Приказ Департамента охраны объектов культурного наследия Ярославской области от 10.09.2020 № 101
"Об утверждении графического описания местоположения границ защитных зон объектов культурного наследия"
(Зарегистрирован 11.09.2020 № 36-10463)
Номер опубликования: 7601202009140003
Дата опубликования: 14.09.2020
Страница №83 из 106:
Увеличить