Официальное опубликование правовых актов
ОФИЦИАЛЬНОЕ ОПУБЛИКОВАНИЕ
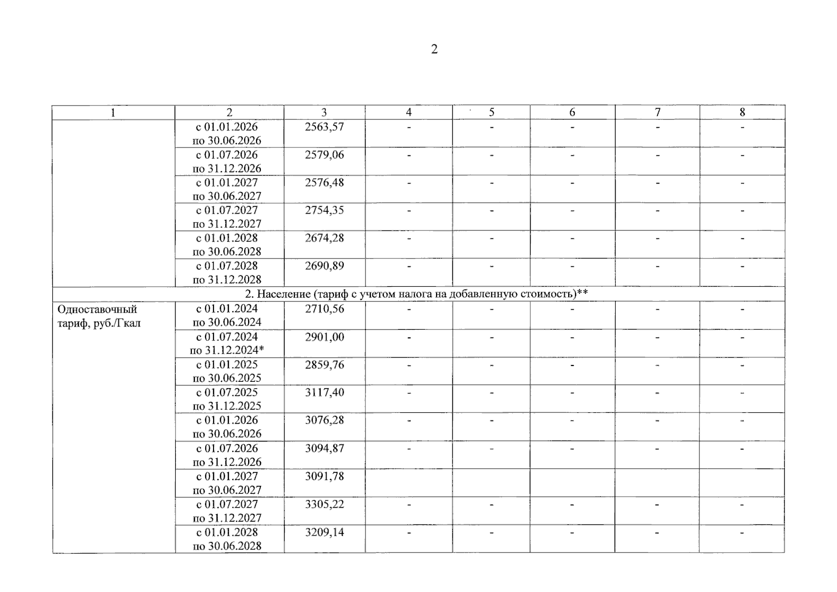
Приказ министерства тарифного регулирования Ярославской области от 24.06.2024 № 81-ви
"О внесении изменений в приказ министерства тарифного регулирования Ярославской области от 15.12.2023 № 311-тэ"
(Зарегистрирован 24.06.2024 № 43-15019)
Номер опубликования: 7601202406250003
Дата опубликования: 25.06.2024
Страница №11 из 17:
Увеличить