Официальное опубликование правовых актов
ОФИЦИАЛЬНОЕ ОПУБЛИКОВАНИЕ
Приказ министерства тарифного регулирования Ярославской области от 29.11.2024 № 219-ви
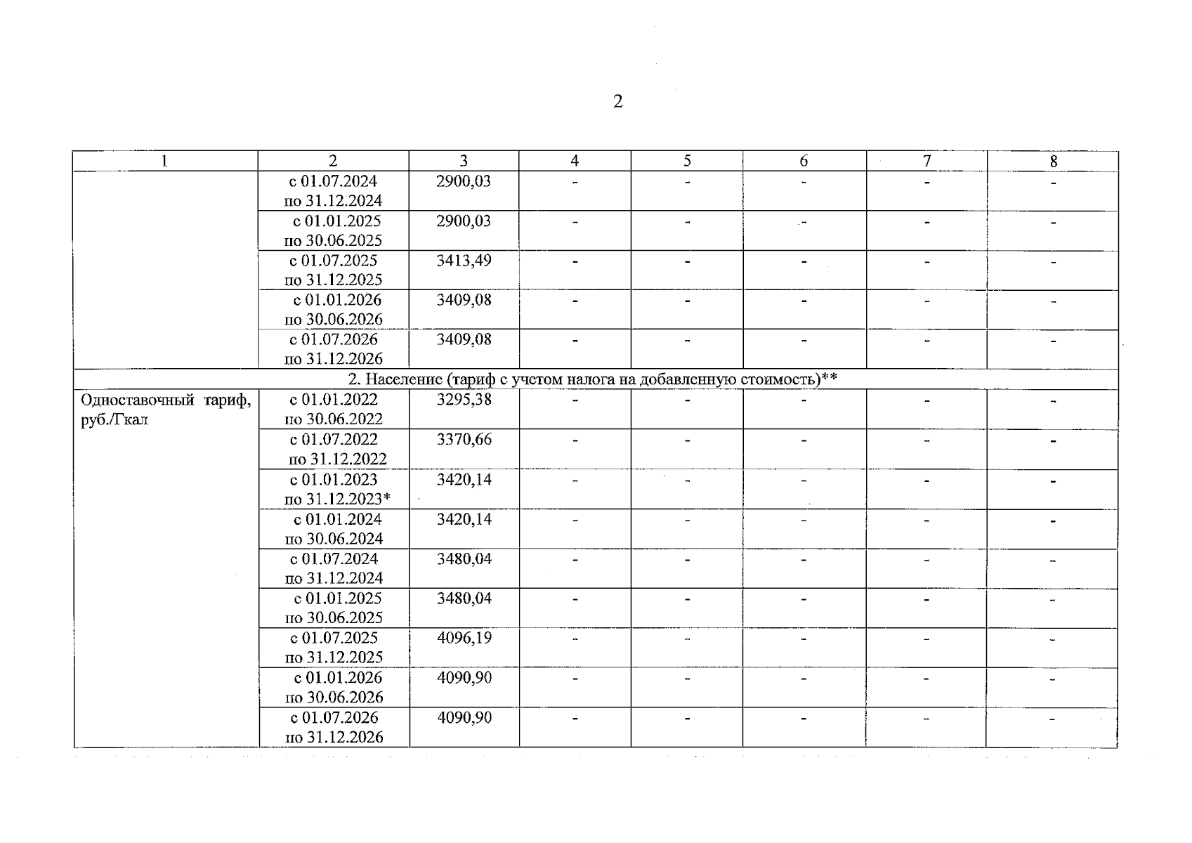
"О внесении изменений в приказ департамента жилищно-коммунального хозяйства, энергетики и регулирования тарифов Ярославской области от 20.12.2021 № 333-тэ"
(Зарегистрирован 03.12.2024 № 43-15546)
Номер опубликования: 7601202412090010
Дата опубликования: 09.12.2024
Страница №4 из 5:
Увеличить