Официальное опубликование правовых актов
ОФИЦИАЛЬНОЕ ОПУБЛИКОВАНИЕ
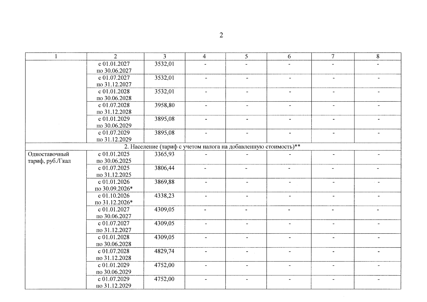
Приказ министерства тарифного регулирования Ярославской области от 10.12.2025 № 167-ви
"О внесении изменения в приказ министерства тарифного регулирования Ярославской области от 05.12.2024 № 247-тэ"
(Зарегистрирован 11.12.2025 № 43-16830)
Номер опубликования: 7601202512120006
Дата опубликования: 12.12.2025
Страница №4 из 5:
Увеличить