Официальное опубликование правовых актов
ОФИЦИАЛЬНОЕ ОПУБЛИКОВАНИЕ
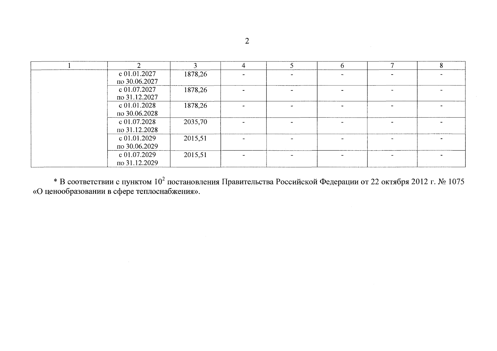
Приказ министерства тарифного регулирования Ярославской области от 11.12.2025 № 199-ви
"О внесении изменений в приказ министерства тарифного регулирования Ярославской области от 17.12.2024 № 321-тэ"
(Зарегистрирован 11.12.2025 № 43-16862)
Номер опубликования: 7601202512120033
Дата опубликования: 12.12.2025
Страница №4 из 7:
Увеличить