Официальное опубликование правовых актов
ОФИЦИАЛЬНОЕ ОПУБЛИКОВАНИЕ
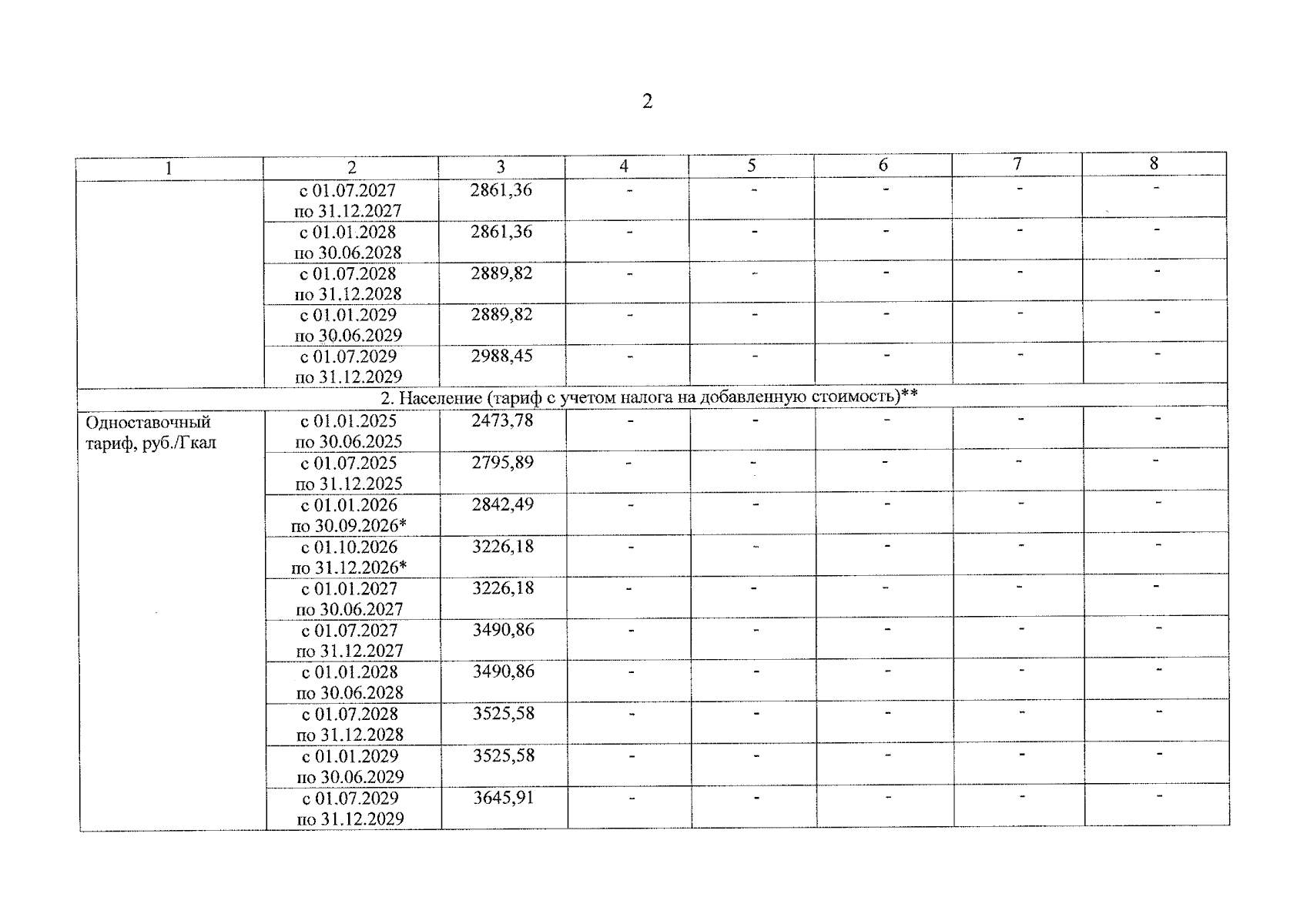
Приказ министерства тарифного регулирования Ярославской области от 11.12.2025 № 208-ви
"О внесении изменения в приказ министерства тарифного регулирования Ярославской области от 05.12.2024 № 251-тэ"
(Зарегистрирован 12.12.2025 № 43-16874)
Номер опубликования: 7601202512150003
Дата опубликования: 15.12.2025
Страница №4 из 5:
Увеличить