Официальное опубликование правовых актов
ОФИЦИАЛЬНОЕ ОПУБЛИКОВАНИЕ
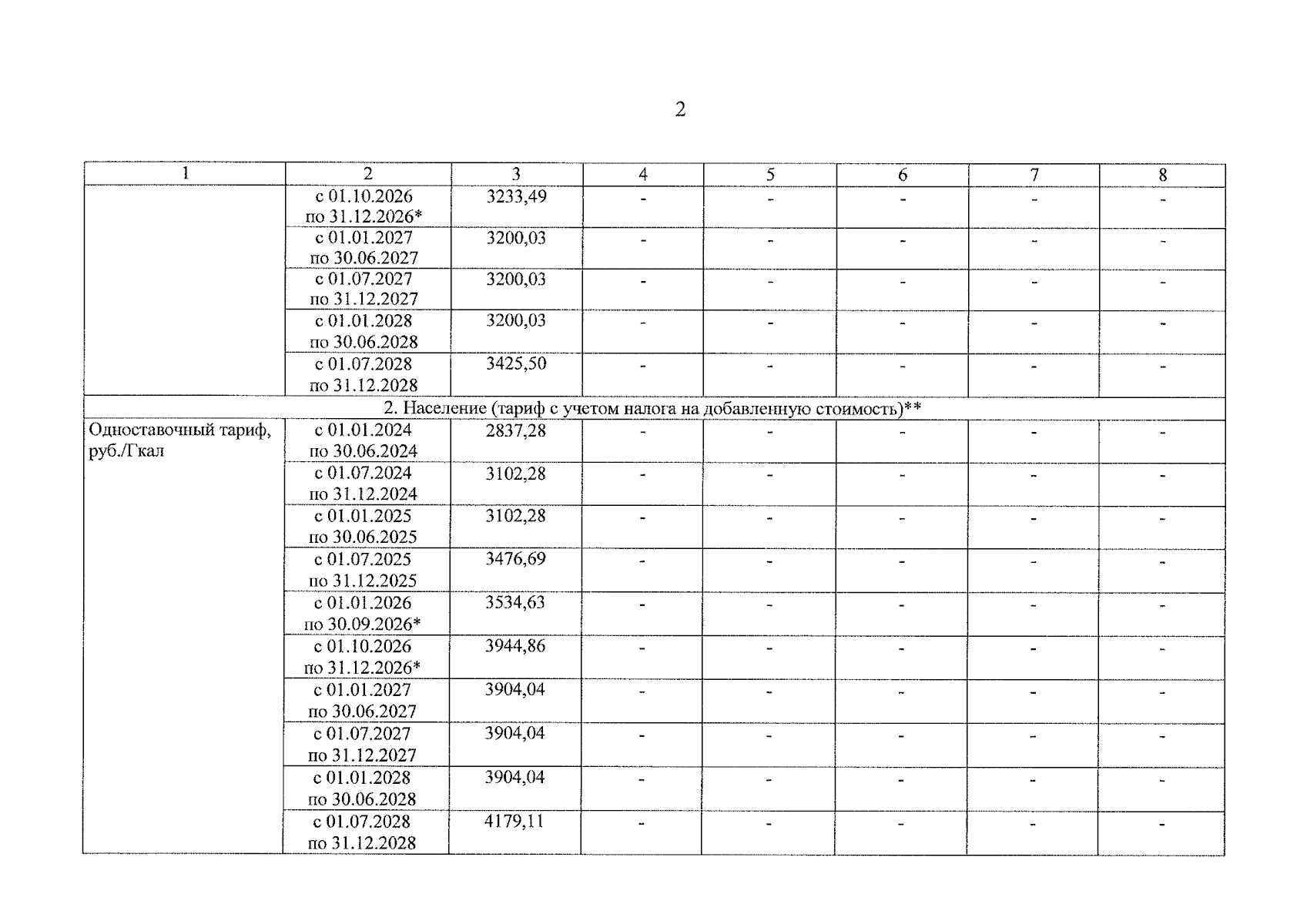
Приказ министерства тарифного регулирования Ярославской области от 15.12.2025 № 243-ви
"О внесении изменений в приказ министерства тарифного регулирования Ярославской области от 19.12.2023 № 398-тэ"
(Зарегистрирован 15.12.2025 № 43-16913)
Номер опубликования: 7601202512160015
Дата опубликования: 16.12.2025
Страница №7 из 10:
Увеличить