Официальное опубликование правовых актов
ОФИЦИАЛЬНОЕ ОПУБЛИКОВАНИЕ
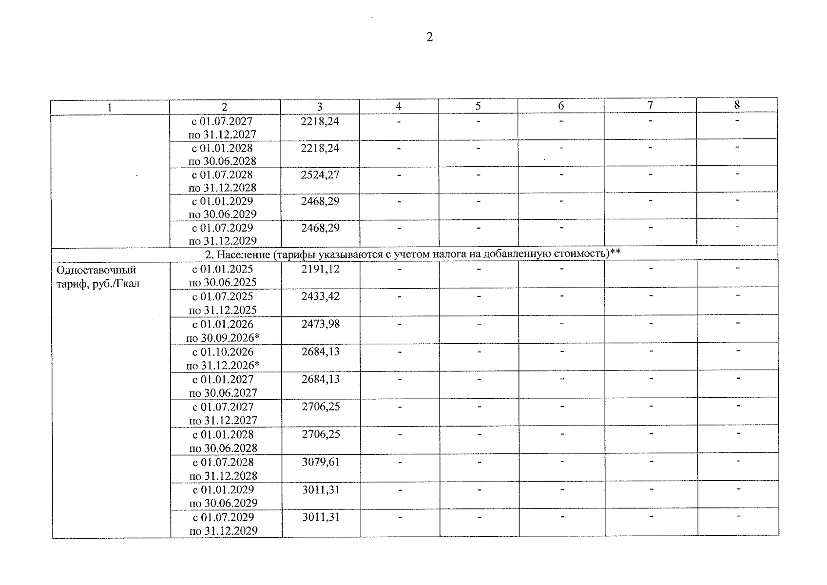
Приказ министерства тарифного регулирования Ярославской области от 16.12.2025 № 263-ви
"О внесении изменения в приказ министерства тарифного регулирования Ярославской области от 01.11.2024 № 146-тэ"
(Зарегистрирован 16.12.2025 № 43-16948)
Номер опубликования: 7601202512170004
Дата опубликования: 17.12.2025
Страница №3 из 4:
Увеличить