Официальное опубликование правовых актов
ОФИЦИАЛЬНОЕ ОПУБЛИКОВАНИЕ
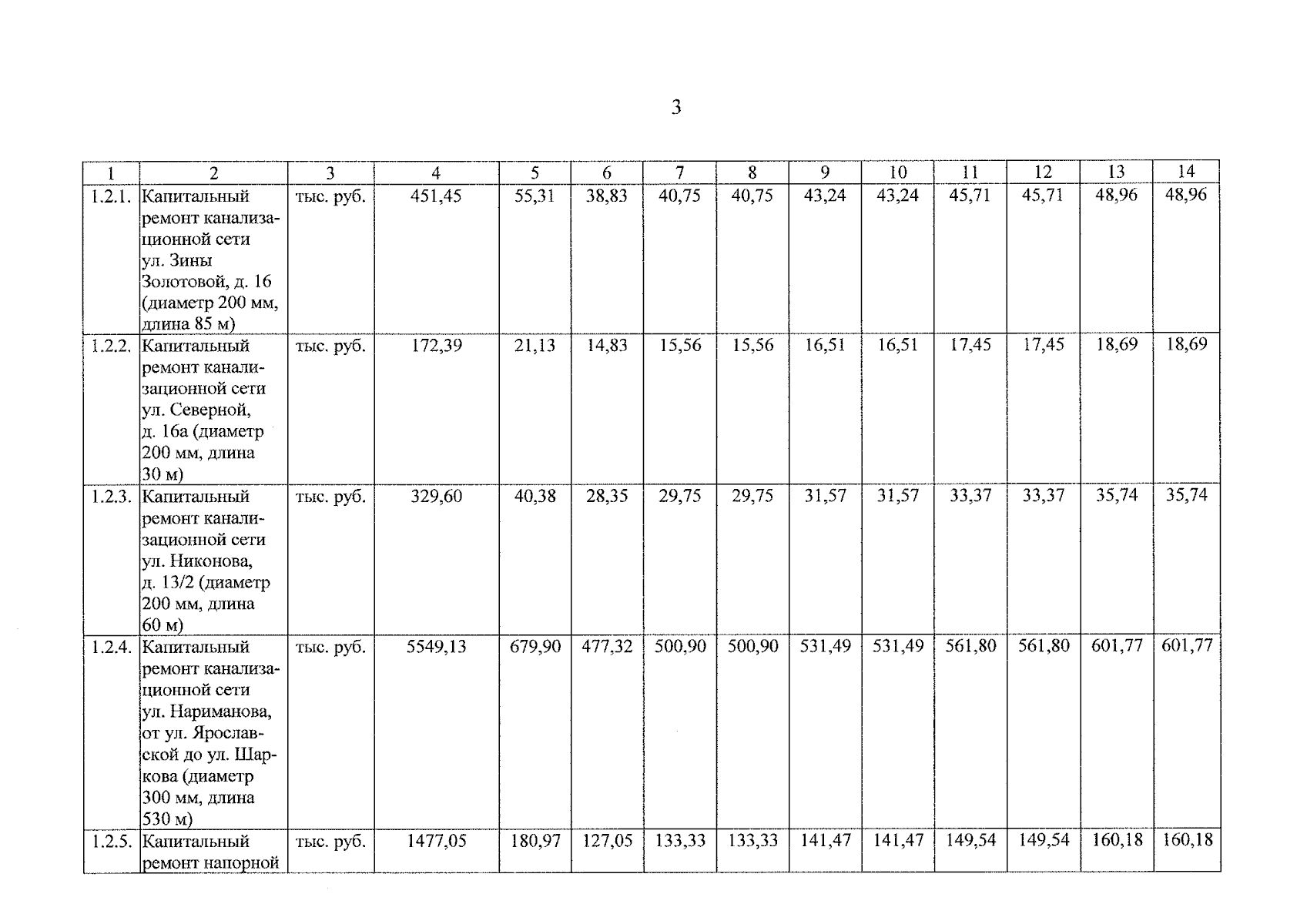
Приказ министерства тарифного регулирования Ярославской области от 16.12.2025 № 271-ви
"О внесении изменений в приказ департамента жилищно-коммунального хозяйства, энергетики и регулирования тарифов Ярославской области от 20.12.2021 № 426-вс/во"
(Зарегистрирован 16.12.2025 № 43-16954)
Номер опубликования: 7601202512170010
Дата опубликования: 17.12.2025
Страница №18 из 29:
Увеличить