Официальное опубликование правовых актов
ОФИЦИАЛЬНОЕ ОПУБЛИКОВАНИЕ
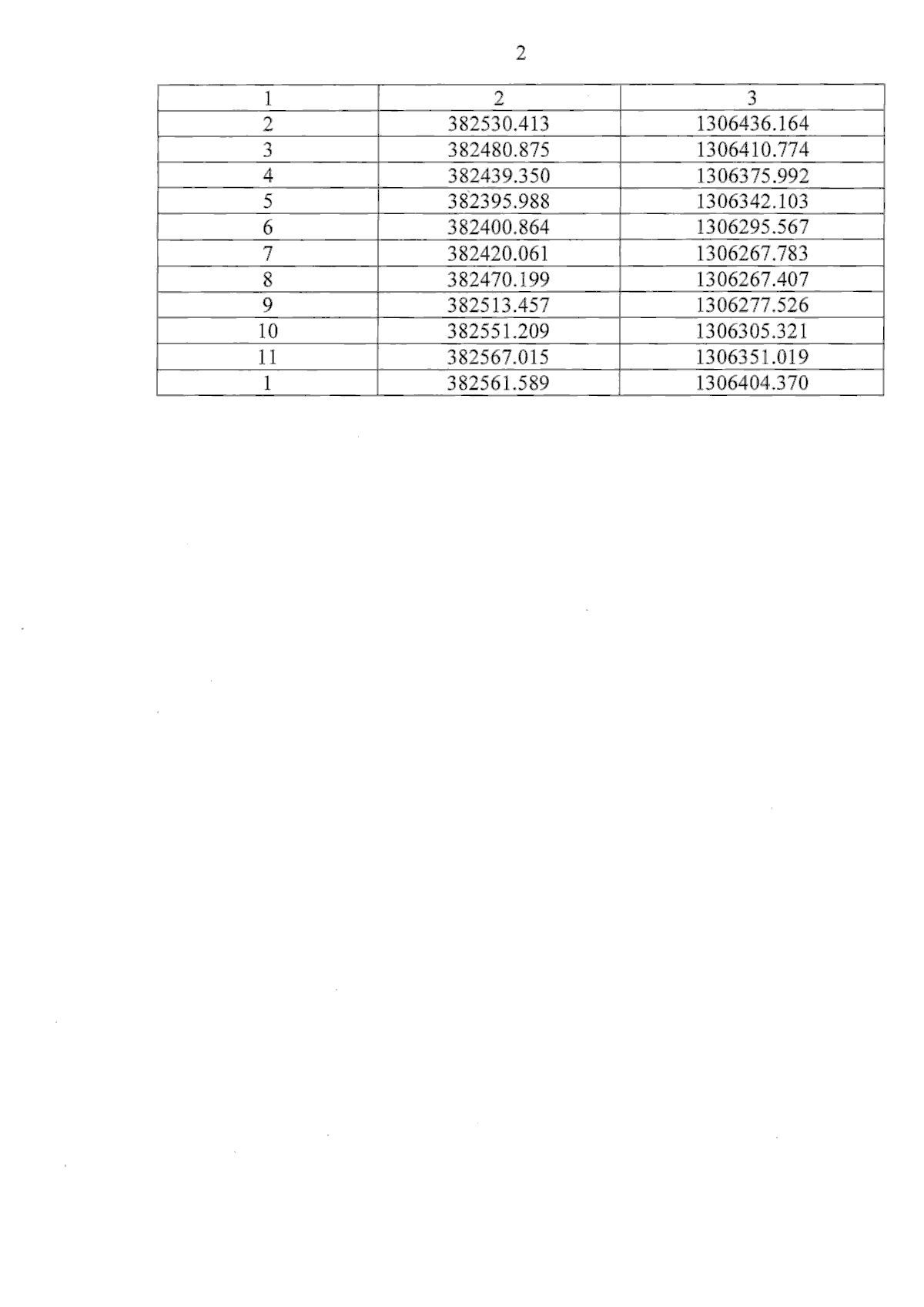
Приказ государственной службы охраны объектов культурного наследия Ярославской области от 03.02.2026 № 26
"О включении выявленного объекта археологического наследия в перечень выявленных объектов культурного наследия Ярославской области и об установлении особого режима использования земельных участков, в границах которых расположен выявленный объект археологического наследия"
(Зарегистрирован 03.02.2026 № 36-17290)
Номер опубликования: 7601202602060001
Дата опубликования: 06.02.2026
Страница №4 из 4: