Официальное опубликование правовых актов
ОФИЦИАЛЬНОЕ ОПУБЛИКОВАНИЕ
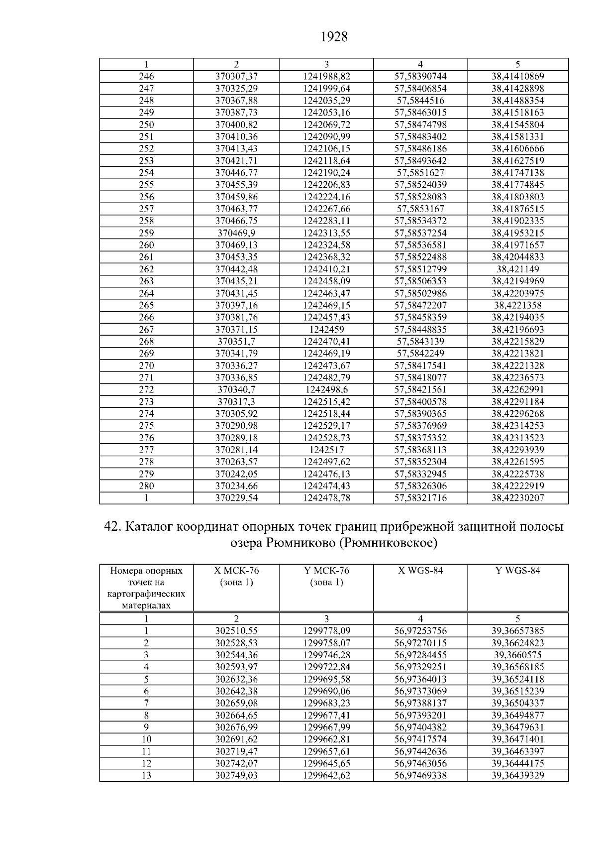
Приказ министерства лесного хозяйства и природопользования Ярославской области от 02.03.2026 № 4-н
"Об установлении местоположения береговых линий (границ водных объектов), границ водоохранных зон и границ прибрежных защитных полос"
(Зарегистрирован 04.03.2026 № 44-17350)
Номер опубликования: 7601202603100001
Дата опубликования: 10.03.2026
Страница №1930 из 1941:
Увеличить