Официальное опубликование правовых актов
ОФИЦИАЛЬНОЕ ОПУБЛИКОВАНИЕ
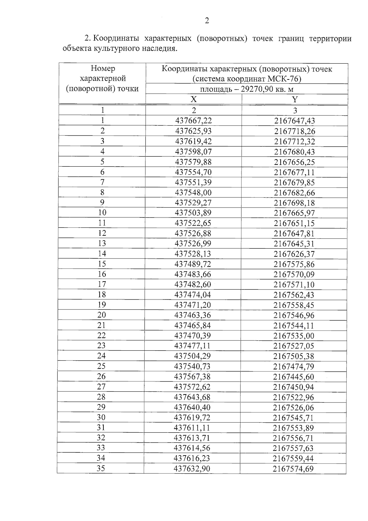
Приказ государственной службы охраны объектов культурного наследия Ярославской области от 26.03.2026 № 59
"Об утверждении предмета охраны и границ территории объекта культурного наследия регионального значения"
(Зарегистрирован 27.03.2026 № 36-17425)
Номер опубликования: 7601202604020009
Дата опубликования: 02.04.2026
Страница №7 из 9:
Увеличить