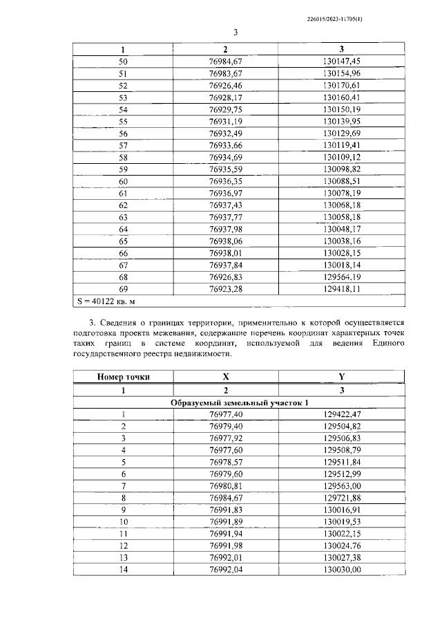
Постановление Правительства Санкт-Петербурга от 03.08.2023 № 808
"Об утверждении проекта планировки с проектом межевания территории для размещения линейного объекта регионального значения "ул.Георгия Водопьянова от Загородной ул. до ул.Севастьянова"
"Об утверждении проекта планировки с проектом межевания территории для размещения линейного объекта регионального значения "ул.Георгия Водопьянова от Загородной ул. до ул.Севастьянова"
Номер опубликования: 7800202308090004
Дата опубликования:
09.08.2023
