Официальное опубликование правовых актов
ОФИЦИАЛЬНОЕ ОПУБЛИКОВАНИЕ
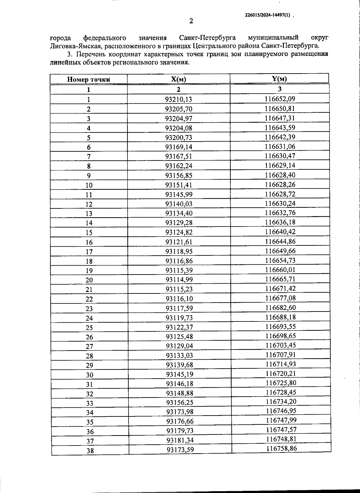
Постановление Правительства Санкт-Петербурга от 22.10.2024 № 909
"Об утверждении проекта планировки с проектом межевания территории для размещения линейных объектов регионального значения "Улица вокруг собора Феодоровской иконы Божией Матери, улица №1 от собора Феодоровской иконы Божией Матери до Товарного пер.", расположенной в границах территории исторического поселения федерального значения город Санкт-Петербург"
Номер опубликования: 7800202410280005
Дата опубликования: 28.10.2024
Страница №6 из 39:
Увеличить