Официальное опубликование правовых актов
ОФИЦИАЛЬНОЕ ОПУБЛИКОВАНИЕ
Постановление Правительства Санкт-Петербурга от 13.11.2024 № 1022
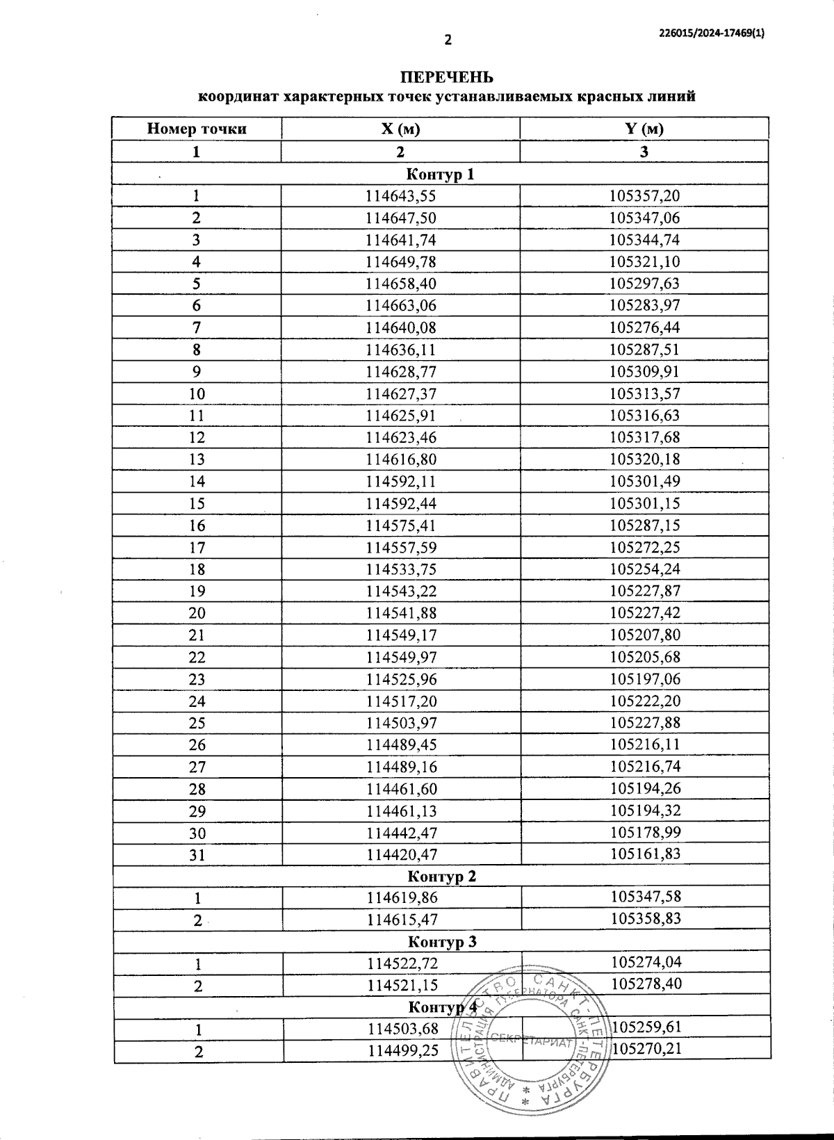
"Об утверждении проекта планировки с проектом межевания территории для размещения линейного объекта регионального значения "Проектируемая улица от Садовой ул. до Школьной ул."
Номер опубликования: 7800202411200001
Дата опубликования: 20.11.2024
Страница №4 из 14:
Увеличить