Официальное опубликование правовых актов
ОФИЦИАЛЬНОЕ ОПУБЛИКОВАНИЕ
Постановление Правительства Санкт-Петербурга от 18.07.2025 № 505
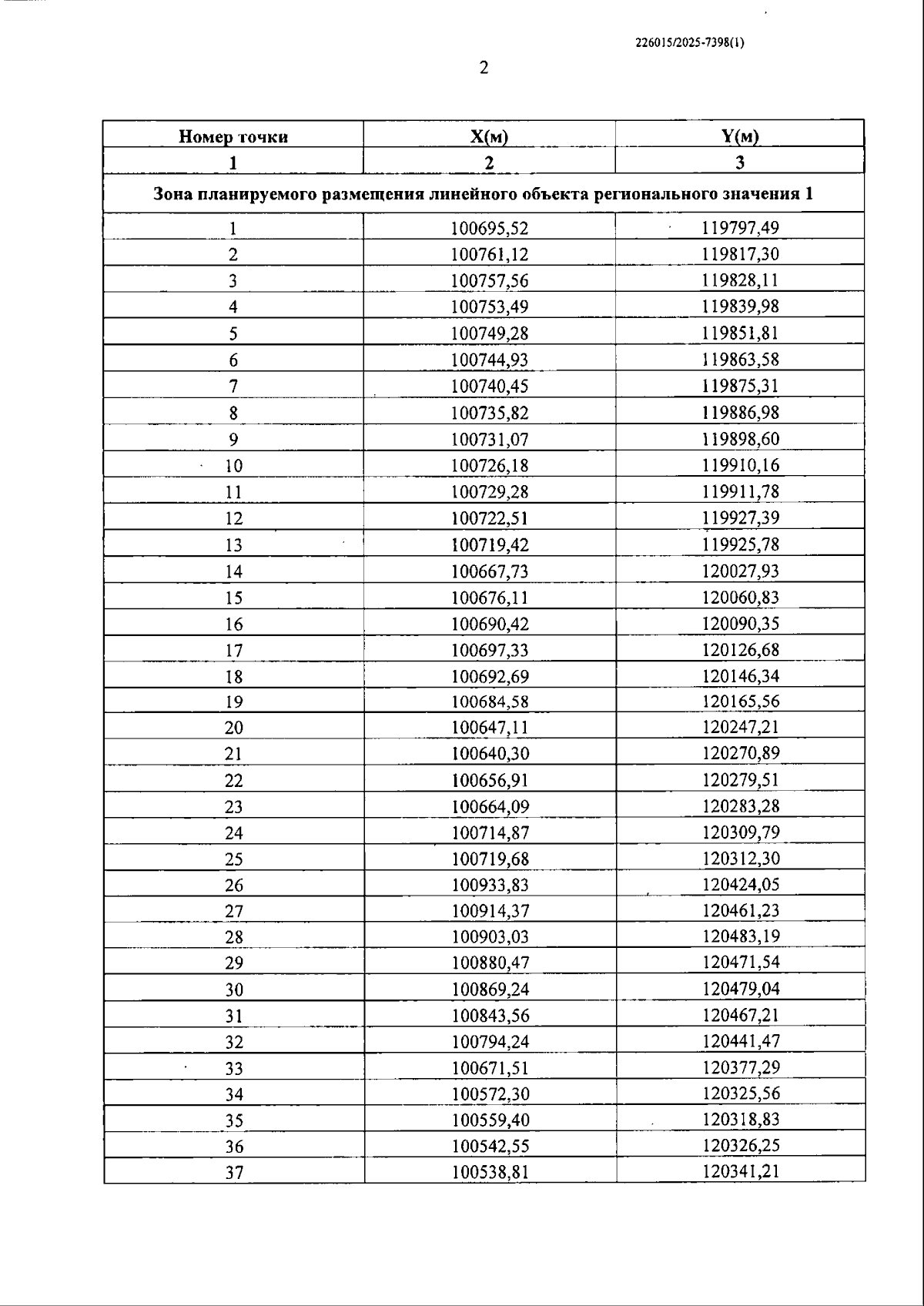
"Об утверждении проекта планировки с проектом межевания территории для размещения линейного объекта регионального значения "Транспортная развязка на пересечении Пискарёвского пр. и пр.Непокорённых"
Номер опубликования: 7800202507240012
Дата опубликования: 24.07.2025
Страница №17 из 77:
Увеличить