Официальное опубликование правовых актов
ОФИЦИАЛЬНОЕ ОПУБЛИКОВАНИЕ
Постановление Правительства Санкт-Петербурга от 14.08.2025 № 576
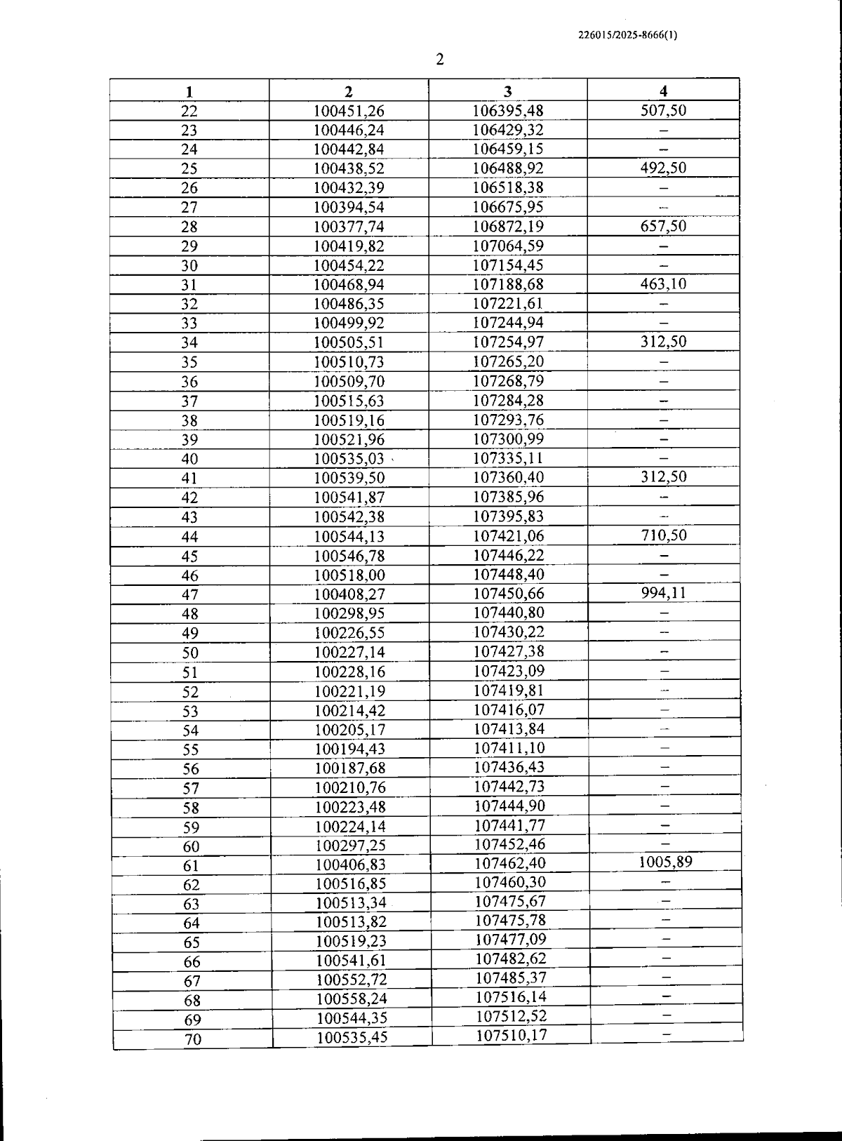
"Об утверждении проекта планировки с проектом межевания территории для размещения линейного объекта регионального значения "Строительство второй нитки главного канализационного коллектора северной части Санкт-Петербурга (2 этап)"
Номер опубликования: 7800202508220004
Дата опубликования: 22.08.2025
Страница №26 из 52:
Увеличить