Постановление Правительства Санкт-Петербурга от 09.09.2025 № 641
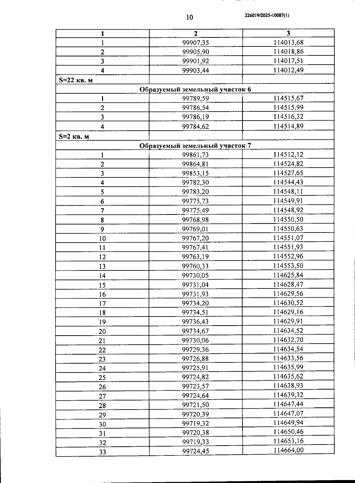
"Об утверждении проекта планировки с проектом межевания территории для размещения линейного объекта регионального значения "Белоостровская ул. от Торжковской ул. до Кантемировской ул., включая пл. Академика Климова"
"Об утверждении проекта планировки с проектом межевания территории для размещения линейного объекта регионального значения "Белоостровская ул. от Торжковской ул. до Кантемировской ул., включая пл. Академика Климова"
Номер опубликования: 7800202509150006
Дата опубликования:
15.09.2025
