Официальное опубликование правовых актов
ОФИЦИАЛЬНОЕ ОПУБЛИКОВАНИЕ
Постановление Правительства Санкт-Петербурга от 14.10.2025 № 778
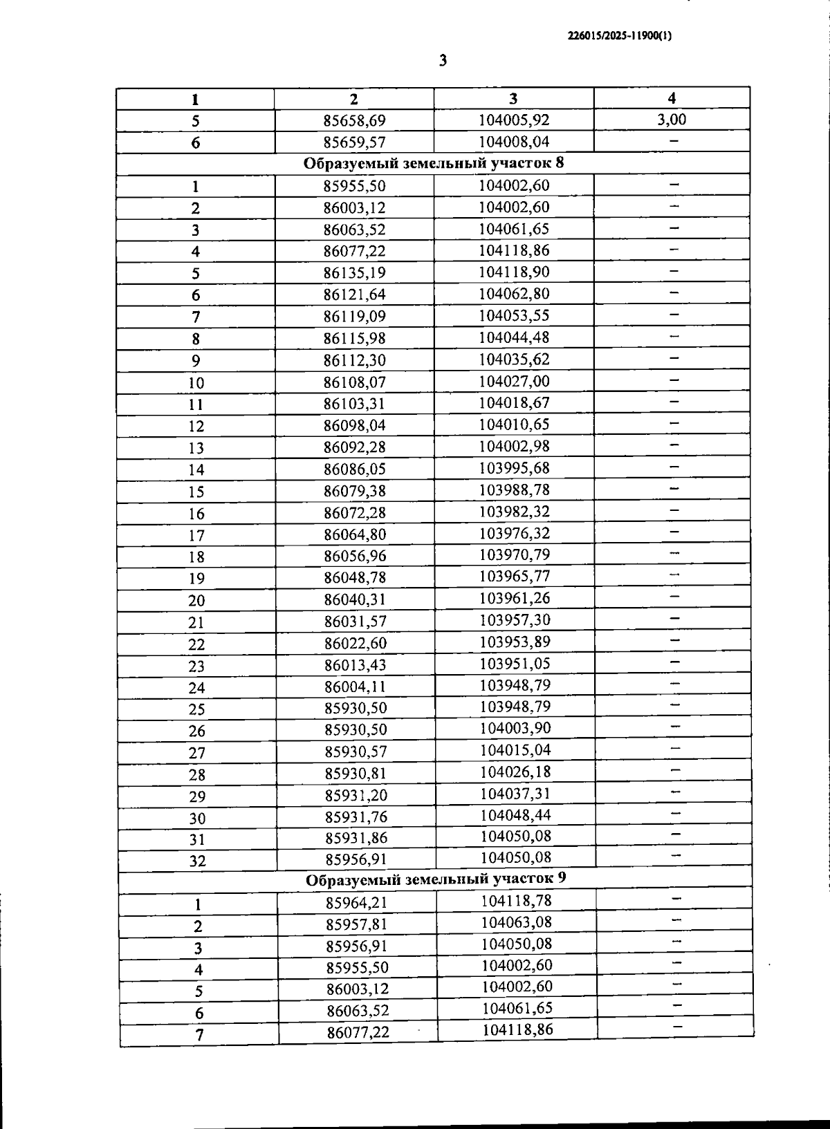
"О внесении изменений в постановление Правительства Санкт-Петербурга от 26.04.2005 № 558 и утверждении проекта межевания территории кварталов 32а-1, 32а-2,38-6, ограниченной ул.Адмирала Трибуца, Балтийским бульв., ул. Адмирала Черокова, ул. Лётчика Тихомирова, естественной границей водного объекта Матисов кан., пр.Героев, в Красносельском районе"
Номер опубликования: 7800202510210007
Дата опубликования: 21.10.2025
Страница №22 из 26:
Увеличить