Официальное опубликование правовых актов
ОФИЦИАЛЬНОЕ ОПУБЛИКОВАНИЕ
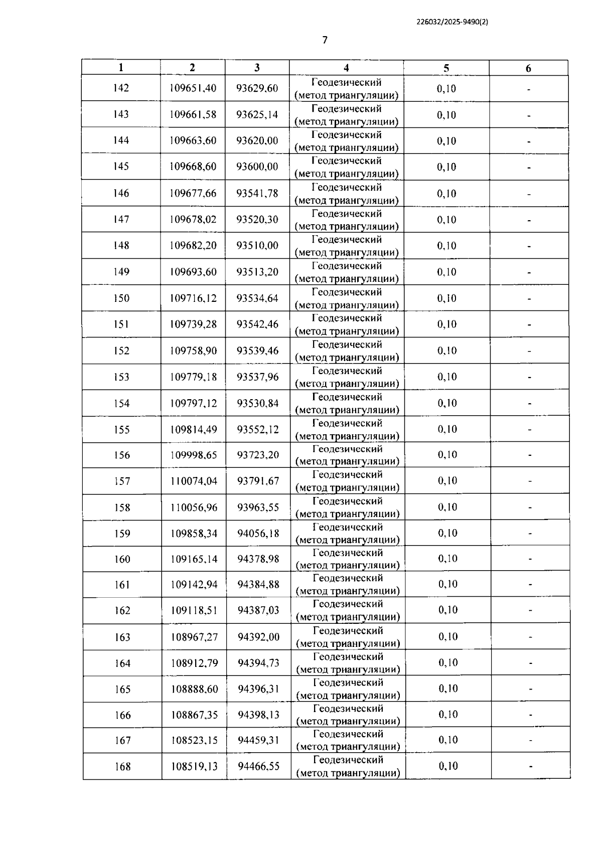
Постановление Правительства Санкт-Петербурга от 14.10.2025 № 765
"О создании государственного природного заказника регионального значения "Тарховский"
Номер опубликования: 7800202510210009
Дата опубликования: 21.10.2025
Страница №8 из 20:
Увеличить