Официальное опубликование правовых актов
ОФИЦИАЛЬНОЕ ОПУБЛИКОВАНИЕ
Постановление Правительства Санкт-Петербурга от 11.11.2025 № 856
"О внесении изменений в постановление Правительства Санкт-Петербурга от 22.12.2008 № 1654"
Номер опубликования: 7800202511140012
Дата опубликования: 14.11.2025
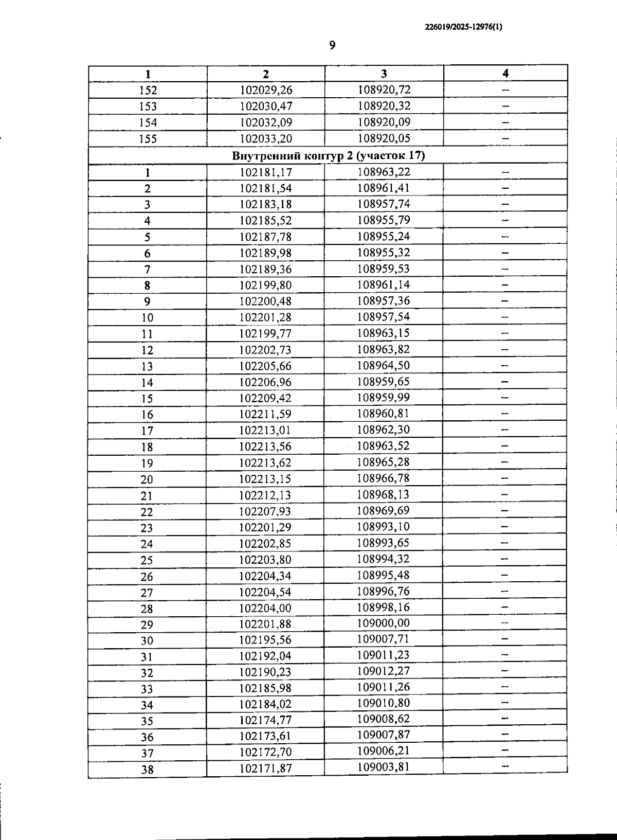
Страница №23 из 26:
Увеличить