Официальное опубликование правовых актов
ОФИЦИАЛЬНОЕ ОПУБЛИКОВАНИЕ
Постановление Правительства Санкт-Петербурга от 11.11.2025 № 862
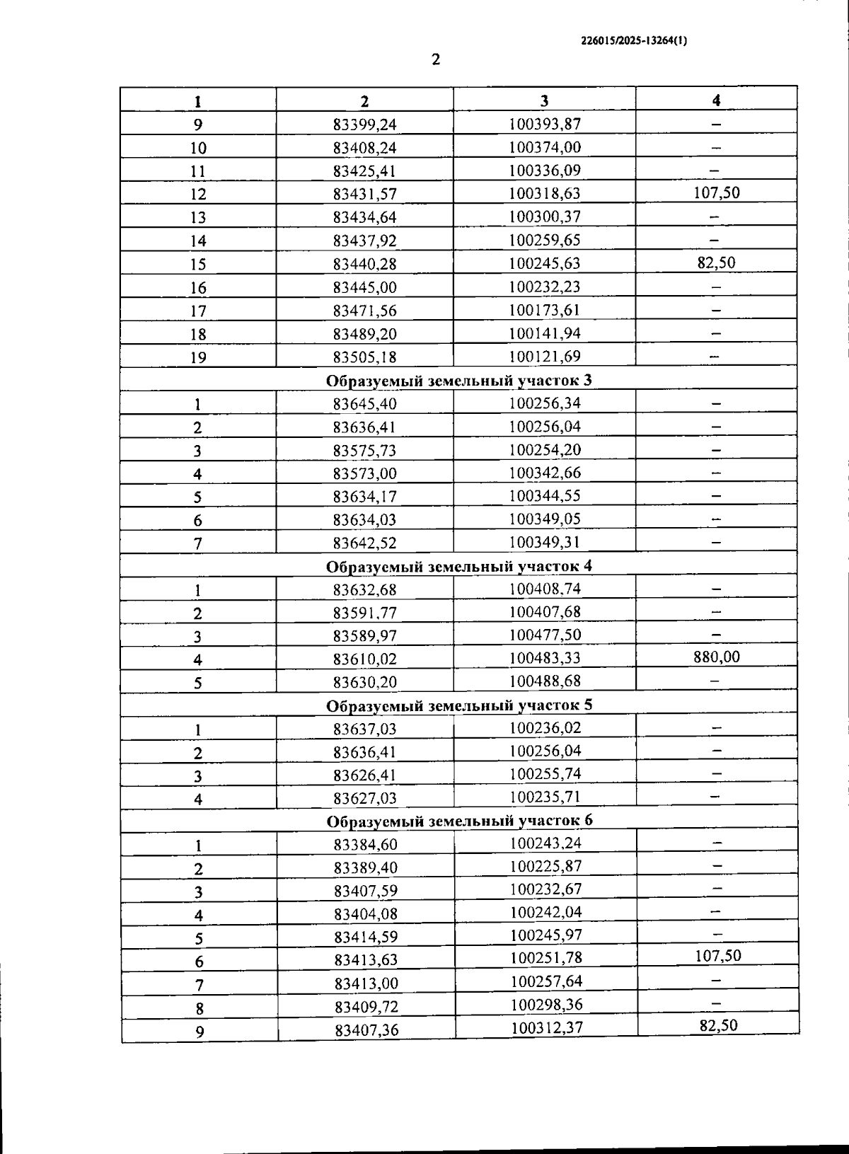
"Об утверждении проекта планировки с проектом межевания территории, ограниченной Красносельским шоссе, проектируемым продолжением пр. Ветеранов, пр. Будённого, границами территориальных зон Т1Ж2-2, ТИЗ, в Петродворцовом районе"
Номер опубликования: 7800202511140018
Дата опубликования: 14.11.2025
Страница №25 из 35:
Увеличить