Официальное опубликование правовых актов
ОФИЦИАЛЬНОЕ ОПУБЛИКОВАНИЕ
Постановление Правительства Санкт-Петербурга от 11.11.2025 № 840
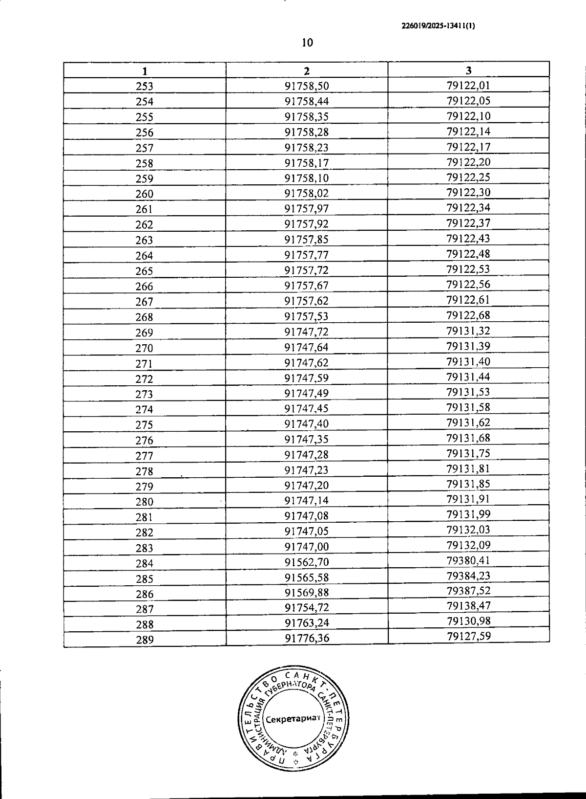
"Об утверждении проекта планировки с проектом межевания территории для размещения линейного объекта регионального значения "Реконструкция водовода Ломоносовского и Петродворцового районов Д=560 мм до дюкерных переходов в г.Кронштадт на участке от КПК-11 до КПК-12 (с увеличением диаметра до 700 мм)"
Номер опубликования: 7800202511180002
Дата опубликования: 18.11.2025
Страница №33 из 33:
Увеличить