Официальное опубликование правовых актов
ОФИЦИАЛЬНОЕ ОПУБЛИКОВАНИЕ
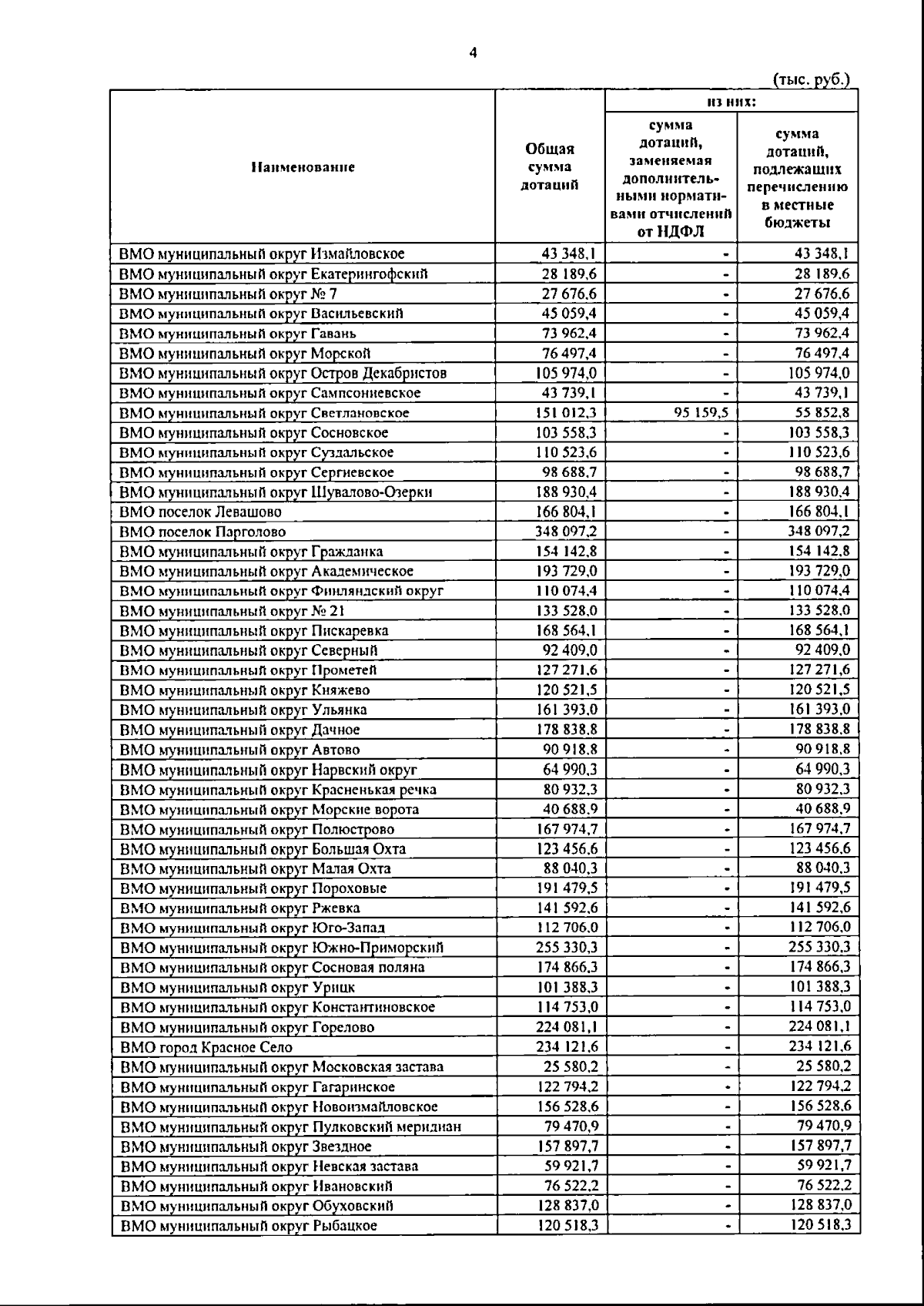
Закон Санкт-Петербурга от 26.11.2025 № 659-124
"О бюджете Санкт-Петербурга на 2026 год и на плановый период 2027 и 2028 годов"
(принят Законодательным Собранием Санкт-Петербурга 26.11.2025, подписан Губернатором Санкт-Петербурга 28.11.2025)
Номер опубликования: 7800202512010004
Дата опубликования: 01.12.2025
Страница №1099 из 1171:
Увеличить