Официальное опубликование правовых актов
ОФИЦИАЛЬНОЕ ОПУБЛИКОВАНИЕ
Постановление Правительства Санкт-Петербурга от 05.12.2025 № 948
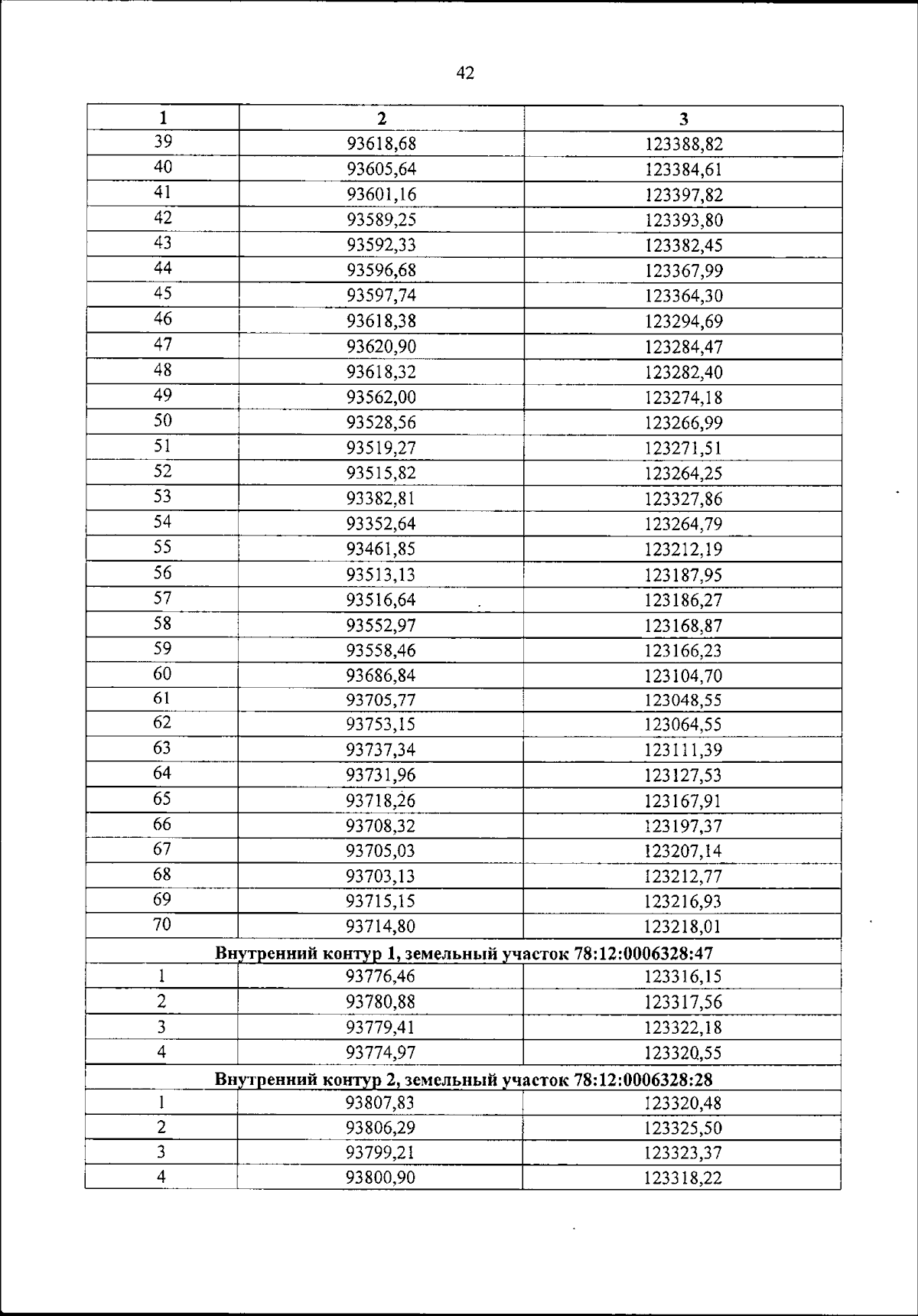
"Об утверждении проекта планировки с проектом межевания территории для размещения линейного объекта регионального значения "Транспортная развязка Широтной магистрали скоростного движения с пр. Солидарности на участке от ул. Кржижановского до Хасанской ул. со строительством путепровода через железнодорожные пути"
Номер опубликования: 7800202512120001
Дата опубликования: 12.12.2025
Страница №84 из 93:
Увеличить