Официальное опубликование правовых актов
ОФИЦИАЛЬНОЕ ОПУБЛИКОВАНИЕ
Постановление Правительства Санкт-Петербурга от 05.12.2025 № 938
"О внесении изменений в постановление Правительства Санкт-Петербурга от 10.06.2008 № 703"
Номер опубликования: 7800202512120006
Дата опубликования: 12.12.2025
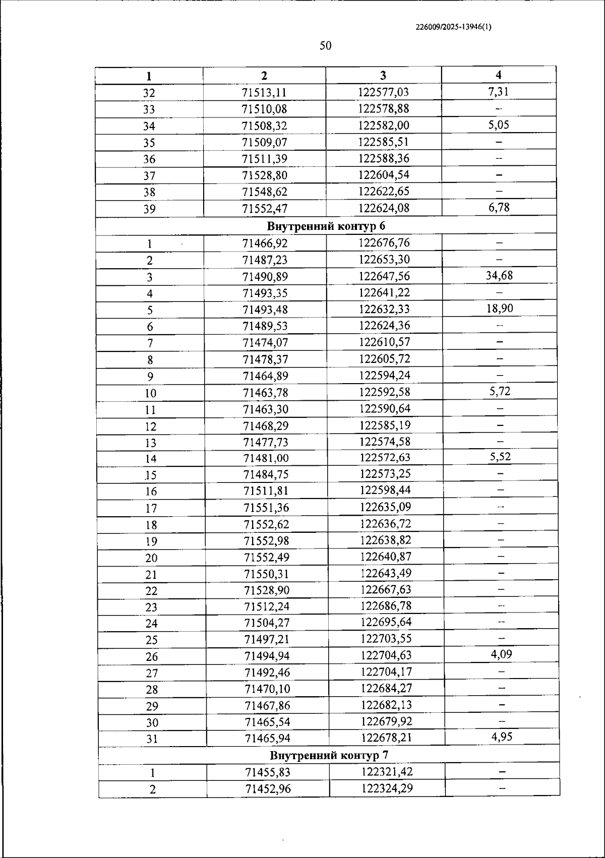
Страница №75 из 84:
Увеличить