Официальное опубликование правовых актов
ОФИЦИАЛЬНОЕ ОПУБЛИКОВАНИЕ
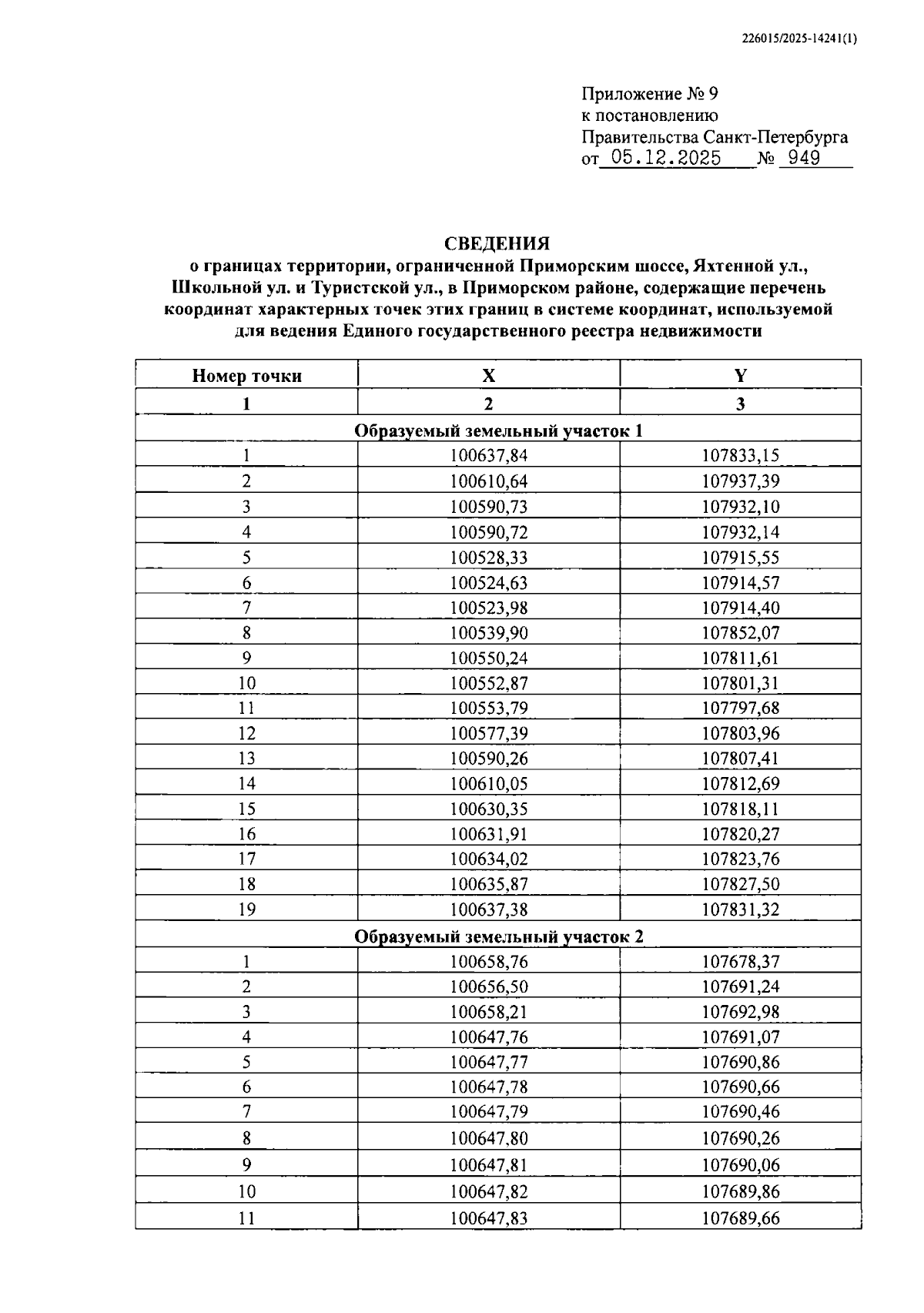
Постановление Правительства Санкт-Петербурга от 05.12.2025 № 949
"О внесении изменений в постановление Правительства Санкт-Петербурга от 19.06.2007 № 703"
Номер опубликования: 7800202512120017
Дата опубликования: 12.12.2025
Страница №13 из 29:
Увеличить